Skul.pl
  • Opracowania zadań z podręczników
  • Fizyka. Klasa 8. Zeszyt ćwiczeń - rozwiązania i odpowiedzi
  • Ćwiczenie 5.

Fizyka. Klasa 8. Zeszyt ćwiczeń - rozwiązania i odpowiedzi

Zeszyt ćwiczeń, Wydawnictwo: MAC
Poprzednie

Ćwiczenie 5. - strona 8

Następne

Zadanie

Oblicz energię kinetyczną samochodu o masie 1 tony, jadącego z prędkością 108 km na godzinę.

Rozwiązanie

Odpowiedź: D. 450 kJ

Skul

Wyjaśnienie

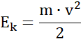
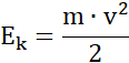
Wzór na energię kinetyczną ma postać:

gdzie Ek jest energią kinetyczną w dżulach,

m to masa w kilogramach,

v to prędkość w metrach na sekundę.

Poprzednie
Następne

Fizyka - wybrane pytania

Zadanie 1., strona 109, Fizyka. Klasa 1. Podręcznik. Zakres podstawowy – rozwiązania i odpowiedzi
Zadanie 16., strona 190, Zrozumieć fizykę 4. Zakres rozszerzony. Zbiór zadań - rozwiązania i odpowiedzi
Zadanie 4.2, strona 223, Fizyka. Klasa 4. Poziom rozszerzony. Podręcznik - rozwiązania i odpowiedzi
Zadanie 5.1.15., strona 174, Zrozumieć fizykę. Klasa 1. Zakres rozszerzony. Zbiór zadań - rozwiązania i odpowiedzi
Zadanie 16.10., strona 95, Fizyka. Klasa 1. Zbiór zadań. Zakres rozszerzony – rozwiązania i odpowiedzi
Zadanie 12, strona 92, Fizyka. Klasy 1-3. Zakres podstawowy. Zbiór zadań - rozwiązania i odpowiedzi
Zadanie 2., strona 44, Fizyka. Klasa 1. Podręcznik. Zakres rozszerzony – rozwiązania i odpowiedzi
Zadanie 41.1, strona 127, Fizyka. Klasa 2. Zakres rozszerzony. Zbiór zadań - rozwiązania i odpowiedzi
Zadanie To warto umieć 3., strona 304, Odkryć fizykę. Klasa 3. Zakres podstawowy. Podręcznik - rozwiązania i odpowiedzi
Pytanie 5., strona 114, Fizyka. Fizyka z plusem. Klasa 7. Podręcznik - rozwiązania i odpowiedzi
REKLAMA
Skul
Zadania z tego działu
Powtórzenie wiadomości z klasy 7
4
Z fizyką na ty
4

Ćwiczenie 1.

4

Ćwiczenie 2.

4

Ćwiczenie 3.

4

Ćwiczenie 4.

4

Ćwiczenie 5.

4

Ćwiczenie 6.

5

Ćwiczenie 7.

5

Ćwiczenie 8.

5
Ruch i siły
6

Ćwiczenie 1.

6

Ćwiczenie 2.

6

Ćwiczenie 3.

6

Ćwiczenie 4.

6

Ćwiczenie 5.

6
Właściwości materii
7

Ćwiczenie 1.

7

Ćwiczenie 2.

7

Ćwiczenie 3.

7

Ćwiczenie 4.

7

Ćwiczenie 5.

7
Energia
8

Ćwiczenie 1.

8

Ćwiczenie 2.

8

Ćwiczenie 3.

8

Ćwiczenie 4.

8

Ćwiczenie 5.

8

Ćwiczenie 6.

8
Pełny spis treści
Skul
Artboard 1
Skul.pl
  • Napisz do nas
  • FAQ
  • Mapa Serwisu
  • Google Play
  • App Store

Korzystanie z portalu oznacza akceptację Regulaminu.
Polityka prywatności. Ustawienia preferencji. Copyright: INTERIA.PL 1999-2023 Wszystkie prawa zastrzeżone.