| samochód | samolot | tramwaj | helikopter | pociąg | bolid | |
| Prędkość |
|
|
|
|
|
|
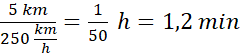
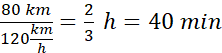
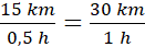
| Droga | 125 km | 225 km | 15 km | 150 km | 80 km | 5 km |
| Czas | 2,5 h | 30 min | 0,5 h | 45 min | 40 min | 1,2 min |
Wzór na prędkość:
Wzór na czas:
Wzór na drogę:
Obliczamy brakujące prędkości przy pomocy wzorów:
Obliczamy brakujące drogi przy pomocy wzorów:
Obliczamy brakujący czas przy pomocy wzorów: