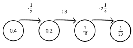
Uzupełnij graf i narysuj go w zeszycie.
W tym ćwiczeniu musisz uzupełnić powyższy graf, korzystając z odpowiednich obliczeń.
Ćwiczenie 1.
215Ćwiczenie 8.
217Ćwiczenie 1.
219Ćwiczenie 9.
221Ćwiczenie 3.
224Ćwiczenie 7.
225Ćwiczenie 1.
228Ćwiczenie 2.
228Ćwiczenie 7.
229Ćwiczenie 8.
229Ćwiczenie 9.
229Ćwiczenie 11,
229Ćwiczenie 12.
229Ćwiczenie 13.
230Ćwiczenie 1.
239Ćwiczenie 2.
239Ćwiczenie 3.
239Ćwiczenie 5.
239Ćwiczenie 6.
239Ćwiczenie 7.
239Ćwiczenie 8.
240Ćwiczenie 9.
240Ćwiczenie 10.
240Ćwiczenie 11.
240Ćwiczenie 12.
240Ćwiczenie 13.
240Ćwiczenie 15.
240Ćwiczenie 16.
240Ćwiczenie 17.
241Ćwiczenie 18.
241Ćwiczenie 19.
241Ćwiczenie 20.
241Ćwiczenie 21.
241Ćwiczenie 22.
241Ćwiczenie 23.
241Ćwiczenie 24.
241Ćwiczenie 25.
241Ćwiczenie 26.
242Ćwiczenie 29.
242Ćwiczenie 30.
242Ćwiczenie 31.
242Ćwiczenie 32.
242Ćwiczenie 34.
242Ćwiczenie 35.
243Ćwiczenie 36.
243Ćwiczenie 37.
243Ćwiczenie 38.
243Ćwiczenie 41.
243Ćwiczenie 45.
111Ćwiczenie 49.
244Ćwiczenie 50.
245Ćwiczenie 52.
245Ćwiczenie 53.
245Ćwiczenie 54.
245Ćwiczenie 59.
246Ćwiczenie 60.
246Ćwiczenie 63.
246Ćwiczenie 64.
246Ćwiczenie 69.
247Ćwiczenie 70.
247Ćwiczenie 71.
247Ćwiczenie 73.
248Ćwiczenie 74.
248Ćwiczenie 78.
248Ćwiczenie 81.
249Ćwiczenie 82.
249Ćwiczenie 83.
249Ćwiczenie 85.
249Ćwiczenie 87.
249Ćwiczenie 90.
250Ćwiczenie 91.
250Ćwiczenie 92.
250Ćwiczenie 93.
250Ćwiczenie 94.
250Ćwiczenie 95.
250Ćwiczenie 96.
250Ćwiczenie 97.
250Ćwiczenie 98.
251Ćwiczenie 99.
251Ćwiczenie 100.
251Ćwiczenie 101.
251Ćwiczenie 102.
251Ćwiczenie 103.
251Ćwiczenie 104.
251Ćwiczenie 105.
252Ćwiczenie 106.
252Ćwiczenie 107.
252Ćwiczenie 108.
252Ćwiczenie 109.
252Ćwiczenie 110.
252Ćwiczenie 111.
252Ćwiczenie 112
252Ćwiczenie 113.
253Ćwiczenie 115.
253Ćwiczenie 116.
253Ćwiczenie 117.
253Ćwiczenie 119.
253Ćwiczenie 120.
253Ćwiczenie 121.
253