Podaj wynik:
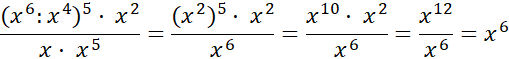
Podczas rozwiązywania przy mnożeniu potęg o tej samej podstawie, przepisz podstawę, a wykładniki dodaj do siebie, natomiast podczas wykonywania dzielenia potęg o tej samej podstawie, przepisz podstawę, a wykładniki odejmij od siebie.
ab · ac = ab + c
ab : ac = ab - c
Zadanie 3.
8Zadanie 4.
8Zadanie 6.
9Zadanie 7.
9Zadanie 8.
9Zadanie 9.
9Zadanie 11.
10Zadanie 12.
10Zadanie 13.
10Zadanie 14.
10Zadanie 15.
10Zadanie 16.
10Zadanie 18.
11Zadanie 19.
11Zadanie 20.
11Zadanie Wyzwanie 1.
11Zadanie Sprawdź się! 2.
11Zadanie Sprawdź się! 4.
11Zadanie 1.
12Zadanie 2.
12Zadanie 3.
13Zadanie 4.
14Zadanie 5.
14Zadanie 6.
14Zadanie 7.
14Zadanie 8.
14Ćwiczenie Sprawdź się! 1.
15Ćwiczenie Sprawdź się! 3.
15Zadanie 1.
16Zadanie 2.
16Zadanie 3.
17Zadanie 4.
17Zadanie 9.
17Zadanie 11.
18Ćwiczenie Wyzwanie 1.
18Ćwiczenie Sprawdź się! 2.
18Ćwiczenie Sprawdź się! 3.
18Zadanie 1.
19Zadanie 2.
19Zadanie 4.
20Zadanie 7.
20Zadanie 8.
20Zadanie 10.
21Zadanie 11.
21Zadanie 14.
22Zadanie 15.
22Zadanie 16.
22Zadanie 17.
22Zadanie 18.
23Zadanie 19.
23Zadanie 20.
23Zadanie 21.
23Zadanie 22.
23Zadanie 23.
24Zadanie 24.
24Zadanie 25.
24Zadanie 26.
25Ćwiczenie Sprawdź się! 1.
25Ćwiczenie Sprawdź się! 2.
25Zadanie 1.
26Zadanie 2.
26Zadanie 3.
26Zadanie 6.
27Zadanie 7.
28Zadanie 8.
28Zadanie 11.
29Zadanie 12.
29Zadanie 13.
29Zadanie 14.
29Zadanie 15.
29Ćwiczenie Wyzwanie 1.
30Ćwiczenie Sprawdź się! 3.
29Zadanie 1.
30Zadanie 2.
31Zadanie 3.
31Zadanie 4.
31Zadanie 5.
31Zadanie 7.
32Zadanie 8.
32Zadanie 9.
32Zadanie 10.
32Zadanie 12.
32Zadanie 13.
32Zadanie 14.
33Zadanie 15.
33Ćwiczenie Wyzwanie 1.
33Ćwiczenie Sprawdź się! 1.
33Ćwiczenie Sprawdź się! 3.
33Ćwiczenie Sprawdź się! 5.
33Zadanie 1.
34Zadanie 2.
34Zadanie 3.
35Zadanie 4.
35Zadanie 8.
35Zadanie 9.
36Zadanie 10.
36Zadanie 11.
36Zadanie 12.
36Zadanie 13.
36Zadanie Wyzwanie 1.
37Ćwiczenie Sprawdź się! 1.
37Ćwiczenie Sprawdź się! 2.
37Ćwiczenie Sprawdź się! 5.
37Zadanie 1.
38Zadanie 2.
38Zadanie 3.
38Zadanie 4.
38Zadanie 5.
38Zadanie 6.
39Zadanie 7.
39Zadanie 10.
40Zadanie 11.
40Zadanie 12.
41Zadanie 14.
41Zadanie Wyzwanie 1.
41Ćwiczenie Sprawdź się! 1.
41Ćwiczenie Sprawdź się! 2.
41Ćwiczenie Sprawdź się! 5.
41Ćwiczenie 1.
42Ćwiczenie 2.
42Ćwiczenie 3.
42Ćwiczenie 4.
42Ćwiczenie 5.
42Ćwiczenie 6.
42Ćwiczenie 8.
42Ćwiczenie 9.
42Ćwiczenie 11.
42Ćwiczenie 12.
43Ćwiczenie 15.
43Ćwiczenie 16.
43Ćwiczenie 17.
43Ćwiczenie 19.
43