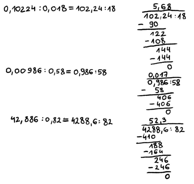
W tym zadaniu musisz wykonać działania pisemne na ułamkach.
Przed podzieleniem ułamków przesuń przecinek w obu liczbach o tyle miejsc w prawo, aby dzielnik był liczbą całkowitą.
Ćwiczenie 1.
59Ćwiczenie 2.
59Ćwiczenie 3.
59Ćwiczenie 6.
59Ćwiczenie 8.
60Ćwiczenie 10.
60Ćwiczenie 13.
61Ćwiczenie 16.
61Ćwiczenie 18.
62Ćwiczenie 19.
62Ćwiczenie 20.
62Ćwiczenie 21.
62Ćwiczenie 22.
62Ćwiczenie 23.
63Ćwiczenie 24.
63Ćwiczenie 26.
63Ćwiczenie 29.
64Ćwiczenie 30.
64Ćwiczenie 31.
63Ćwiczenie 34.
64Ćwiczenie 35.
65Ćwiczenie 37.
65Ćwiczenie 40.
65Ćwiczenie 41.
66Ćwiczenie 45.
66Ćwiczenie 47.
66Ćwiczenie 48.
67Ćwiczenie 49.
67Ćwiczenie 51.
67Ćwiczenie 52.
67Ćwiczenie 53.
67Ćwiczenie 54.
68Ćwiczenie 55.
68Ćwiczenie 58.
68Ćwiczenie 62.
69Ćwiczenie 63.
69Ćwiczenie 64.
69Ćwiczenie 65.
69Ćwiczenie 66.
69Ćwiczenie 72.
70Ćwiczenie 73.
70Ćwiczenie 77.
70Ćwiczenie 80.
72Ćwiczenie 81.
72Ćwiczenie 82.
72Ćwiczenie 83.
72Ćwiczenie 84.
72Ćwiczenie 86.
73Ćwiczenie 89.
73Ćwiczenie 90.
73Ćwiczenie 91.
73Ćwiczenie 93.
73Ćwiczenie 95.
73Ćwiczenie 98.
75Ćwiczenie 99.
75Ćwiczenie 102.
76Ćwiczenie 103.
76Ćwiczenie 1.
78Ćwiczenie 2.
78