W tym zdaniu musisz uzupełnić graf.
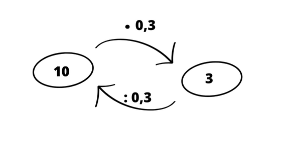
Podziel wynik po prawej stronie przez dzielnik nad strzałką. Otrzymany wynik, który musisz wpisać po lewej stronie to 10. Sprawdź czy po pomnożeniu przez 0,3 otrzymasz wynik po prawej stronie.
Ćwiczenie 1.
48Ćwiczenie 2.
49Ćwiczenie 3.
49Ćwiczenie 4.
50Ćwiczenie 6.
50Ćwiczenie 10.
51Ćwiczenie 12.
52Ćwiczenie 13.
53Ćwiczenie 14.
53Ćwiczenie 15.
53Ćwiczenie Co było na lekcji? 2.1
54Ćwiczenie 16.
54Ćwiczenie 17.
54Ćwiczenie Co było na lekcji? 3.1
55Ćwiczenie Co było na lekcji? 3.3
55Ćwiczenie 19.
55Ćwiczenie 22.
56Ćwiczenie Co było na lekcji? 4.3
57Ćwiczenie 26.
58Ćwiczenie 1.
60Ćwiczenie 2.
60Ćwiczenie 3.
60Ćwiczenie 5.
61Ćwiczenie 6.
61Ćwiczenie Co było na lekcji? 1.1
62Ćwiczenie 9.
62Ćwiczenie 10.
63Ćwiczenie 11.
63Ćwiczenie Co było na lekcji? 2.3
64Ćwiczenie 12.
64Ćwiczenie 13.
65Ćwiczenie 14.
65Ćwiczenie 16.
66Ćwiczenie Co było na lekcji? 4.3
67Ćwiczenie 21.
69Ćwiczenie 1.
70Ćwiczenie 2.
70Ćwiczenie 3.
70Ćwiczenie 4.
71Ćwiczenie Co było na lekcji? 2.1
73Ćwiczenie 9.
74Ćwiczenie 10.
74Ćwiczenie 11.
74