W tym zadaniu musisz porównać wartości obu wyrażeń i obliczyć ich różnicę.
Wyrażenie A ma wartość większą o
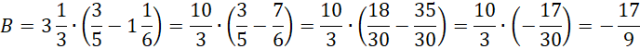
Oblicz wartość obu wyrażeń. Zamień liczby mieszane na ułamki niewłaściwe. Oblicz różnicę ułamków.
Zadanie 1
52Zadanie 2
52Zadanie 3
52Zadanie 4
52Zadanie 5
52Zadanie 10
53Zadanie 11
53Zadanie 12
53Zadanie 13
53Zadanie 17
53Zadanie 22
54Zadanie 1
55Zadanie 2
55Zadanie 8
55Zadanie 10
55Zadanie 12
56Zadanie 14
56Zadanie 16
56Zadanie 18
56Zadanie 19
57Zadanie 20
57Zadanie 21
57Zadanie 23
57Zadanie 25
57Zadanie 1
58Zadanie 2
58Zadanie 7
58Zadanie 8
58Zadanie 9
58Zadanie 10
58Zadanie 12
58Zadanie 13
59Zadanie 14
59Zadanie 16
59Zadanie 21
59Zadanie 22
59Zadanie 24
60Zadanie 1
61Zadanie 2
61Zadanie 5
61Zadanie 7
61Zadanie 8
61Zadanie 9
62Zadanie 10
62Zadanie 14
62Zadanie 18
62Zadanie 24
63Zadanie 25
63Zadanie 28
63Zadanie 1
64Zadanie 2
64Zadanie 3
64Zadanie 5
64Zadanie 7
6Zadanie 8
64Zadanie 11
65Zadanie 13
65Zadanie 15
65Zadanie 16
65Zadanie 20
66Zadanie 25
66Zadanie 3
67Zadanie 18
68Zadanie 23
69Zadanie 1
70Zadanie 3
70Zadanie 4
70Zadanie 5
70Zadanie 6
70Zadanie 7
70Zadanie 8
70Zadanie 9
70Zadanie 10
70Zadanie 12
71Zadanie 13
71Zadanie 14
71Zadanie 15
71Zadanie 16
71Zadanie 17
72Zadanie 18
72Zadanie 19
72Zadanie 23
72Zadanie 1
73Zadanie 5
73Zadanie 6
73Zadanie 8
73Zadanie 11
74Zadanie 12
74Zadanie 13
74Zadanie 16
74Zadanie 17
74