Poszukaj zależności i zastanów się, jak zmiana wpływa na wynik.
Możesz po prostu zauważyć, że jeżeli dzielnik i dzielną zwiększysz 2 razy, to wynik się nie zmieni.
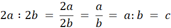
Matematyczne rozwiązanie:
a à dzielna
b à dzielnik
c à iloraz
Możesz użyć kilku konkretnych przykładów np. 8 : 2 = 4, 16 : 4 = ?, zapisz wynik i przeanalizuj inne podobne przykłady. Co zauważasz?
Zadanie 1.
11Zadanie 3.
11Zadanie 5.
11Zadanie 8.
12Zadanie 10.
12Zadanie 11.
12Ćwiczenie Ćwiczenie A.
13Ćwiczenie Ćwiczenie B
13Ćwiczenie Ćwiczenie E
15Zadanie 1.
15Zadanie 2.
15Zadanie 3.
15Zadanie 4.
15Zadanie 6.
16Zadanie 9.
16Zadanie 10.
17Zadanie 11.
17Zadanie 13.
17Zadanie 14.
17Zadanie 15.
17Zadanie 16.
18Zadanie 17
18Zadanie 19.
18Zadanie 22.
18Zadanie 23.
19Zadanie 24.
19Zadanie Super zagadka
19Zadanie 1.
21Zadanie 2.
21Zadanie 3.
21Zadanie 5.
21Zadanie 6.
21Ćwiczenie Ćwiczenie B.
22Zadanie 1.
23Zadanie 2.
23Zadanie 11
27Zadanie 1.
29Zadanie 2.
29Zadanie 3.
29Zadanie 4.
29Zadanie 10
31Zadanie 11.
31Zadanie 13
32Zadanie 14
32Zadanie 1.
33Zadanie 2.
33Zadanie 6.
34Zadanie 7.
34Ćwiczenie Ćwiczenie A.
36Ćwiczenie Ćwiczenie D.
36Zadanie 1.
37Zadanie 2.
37Zadanie 8.
38Zadanie 1.
39Zadanie 2.
39Zadanie 3.
40Zadanie 4.
40Zadanie 7.
41