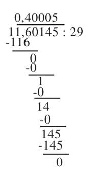
Wykonaj podane działanie sposobem pisemnym, a wynik sprawdź za pomocą mnożenia.
0,40005 ꞏ 2,9 = 1,160145.
Aby podzielić liczbę dziesiętną przez liczbę dziesiętną, musisz w pierwszej kolejności pomnożyć dzielnik i dzielną przez odpowiednią liczbę, tak aby dzielnik stał się liczbą naturalną, a następnie wykonaj dzielenie pisemne liczb naturalnych. Na końcu sprawdź otrzymany wynik mnożeniem, czyli pomnóż wynik, jaki otrzymałeś razy dzielnik.
Zadanie wprowadzające 1
214Zadanie wprowadzające 2
215Zadanie 1
215Zadanie 2
215Zadanie 3
216Zadanie 4
216Zadanie 5
216Zadanie wprowadzające 3
216Zadanie 8
216Zadanie 9
216Zadanie wprowadzające 4
217Zadanie wprowadzające 5
217Zadanie 10
218Zadanie 11
218Zadanie 12
218Zadanie 13
218Zadanie 14
218Zadanie 15
218Zadanie 16
218Zadanie 17
218Zadanie 18
218Zadanie 19
219Zadanie 20
219Zadanie 21
219Zadanie 22
219Zadanie 25
219Zadanie co umiem 1?
220Zadanie co umiem 2?
220Zadanie co umiem 3?
220Zadanie wprowadzające2
221Zadanie 3
222Zadanie 4
222Zadanie 5
222Zadanie 6
222Zadanie wprowadzające 3
222Zadanie 7
223Zadanie 8
223Zadanie wprowadzające 6
223Zadanie 9
224Zadanie 10
224Zadanie 11
224Zadanie 12
224Zadanie wprowadzające 8
225Zadanie 15
226Zadanie 16
226Zadanie 17
226Zadanie 18
226Zadanie 19
226Zadanie 21
226Zadanie 22
227Zadanie co umiem 1?
228Zadanie wprowadzające1
229Zadanie 1
230Zadanie 2
230Zadanie 3
230Zadanie 4
230Zadanie 5
230Zadanie 6
231Zadanie 8
231Zadanie 9
231Zadanie 15
232Zadanie 16
232Zadanie 17
232Zadanie co umiem 1?
233Zadanie co umiem 3?
233Zadanie 16
239Zadanie 17
239Zadanie 4
240Zadanie 5
240