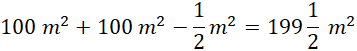
W tym zadaniu musisz obliczyć powierzchnię ścieżek biegnących przez trawnik.
Pole jednej ścieżki:
Pole czworokąta na środku:
Pole ścieżek:
Każda ze ścieżek ma kształt równoległoboku o podstawie 1 m i wysokości 100 m opadającej na tę podstawę. Oblicz pole tej ścieżki ze wzoru na pole równoległoboku
Zadanie 1
76Zadanie 4
76Zadanie 12
77Zadanie 15
77Zadanie 19
78Zadanie 20
78Zadanie 24
78Zadanie 2
79Zadanie 3
79Zadanie 4
79Zadanie 5
79Zadanie 6
79Zadanie 7
79Zadanie 9
79Zadanie 10
80Zadanie 11
80Zadanie 13
80Zadanie 15
80Zadanie 25
81Zadanie 27
27Zadanie 28
81Zadanie 2
82Zadanie 3
82Zadanie 4
82Zadanie 6
82Zadanie 8
83Zadanie 11
83Zadanie 14
83Zadanie 15
83Zadanie 1
85Zadanie 2
85Zadanie 3
85Zadanie 4
85Zadanie 5
86Zadanie 6
86Zadanie 7
86Zadanie 9
86Zadanie 14
87Zadanie 21
87Zadanie 22
87Zadanie 1
88Zadanie 3
88Zadanie 5
88Zadanie 23
90Zadanie 2
91Zadanie 3
91Zadanie 6
92Zadanie 8
92Zadanie 9
92Zadanie 12
93Zadanie 13
93Zadanie 14
93Zadanie 15
93Zadanie 1
94Zadanie 3
94Zadanie 5
94Zadanie 6
94Zadanie 10
95Zadanie 11
95Zadanie 12
95Zadanie 14
96Zadanie 20
96