W tym zadaniu musisz utworzyć wzór na podstawie treści zadania.
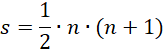
s – suma wszystkich liczb naturalnych od 1 do n
Popatrz na 3 przykłady z treści zadania i widzisz, że w 2 miejscach drugiej części działania zmienia się liczba, a reszta działania pozostaje taka sama. Te dwa miejsca z liczbami oznacz jako n, czyli pewną liczbę naturalną, która będzie ostatnią liczbą zakresu, z jakiego będzie obliczana suma kolejnych liczb naturalnych i utwórz wzór.
Zadanie 1
6Zadanie 2
132Zadanie 3
132Zadanie 4
133Zadanie 6
133Zadanie 7
133Zadanie 11
134Zadanie 12
134Zadanie 1
135Zadanie 2
135Zadanie 4
135Zadanie 6
136Zadanie 7
136Zadanie 8
137Zadanie 9
137Zadanie 12
138Zadanie 13
138Zadanie 14
139Zadanie 3
140Zadanie 5
140Zadanie 6
140Zadanie 7
140Zadanie 8
141Zadanie 11
141Zadanie 22
142Zadanie 1
143Zadanie 2
143Zadanie 3
143Zadanie 4
143Zadanie 25
145Zadanie 26
145Zadanie 1
146Zadanie 2
146Zadanie 3
146Zadanie 5
146Zadanie 14
147Zadanie 18
148Zadanie 19
148Zadanie 23
148Zadanie 1
149Zadanie 4
149Zadanie 5
149Zadanie 6
149Zadanie 8
150Zadanie 9
150Zadanie 11
150Zadanie 14
150Zadanie 15
151Zadanie 16
151Zadanie 19
151Zadanie 2
152Zadanie 18
154Zadanie 1
155Zadanie 2
155Zadanie 3
155Zadanie 4
156Zadanie 6
156Zadanie 8
156Zadanie 9
156Zadanie 10
156