Skul.pl
  • Opracowania zadań z podręczników
  • Matematyka z plusem. Klasa 6. Zeszyt ćwiczeń - pytania i odpowiedzi.
  • Zadanie 2.

Matematyka z plusem. Klasa 6. Zeszyt ćwiczeń - pytania i odpowiedzi.

Podręcznik, Wydawnictwo: GWO
Poprzednie

Zadanie 2. - strona 62

Następne

Zadanie

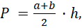
Wzór na pole trapezu:

gdzie a, b – długości podstaw, h – wysokość trapezu

Rozwiązanie

Pierwszy trapez:

Długość jednej podstawy = 3 cm ß a

Długość drugiej podstawy = 5 cm ß b

Długość wysokości = 2 cm ß h

Drugi trapez:

Długość jednej podstawy = 6 cm ß a

Długość drugiej podstawy = 4 cm ß b

Długość wysokości = 2,5 cm ß h

Skul

Wyjaśnienie

Zmierz odcinki i podstaw obliczone wartości do wzoru.

Poprzednie
Następne

Matematyka - wybrane pytania

Zadanie 50, strona 45, Matematyka. Klasa 4. Zbiór zadań - rozwiązania i odpowiedzi
Zadanie 14., strona 42, Matematyka z plusem. Klasa 5. Podręcznik - rozwiązania i odpowiedzi
Zadanie 12., strona 280, Matematyka. Klasa 2. Podręcznik. Zakres podstawowy - rozwiązania i odpowiedzi
Zadanie 21, strona 21, Matura z matematyki. Poziom podstawowy. 2025
Zadanie 7., strona 123, Matematyka z kluczem. Klasa 4. Zeszyt ćwiczeń - rozwiązania i odpowiedzi
Zadanie 1., strona 72, MATeMAtyka. Klasa 3. Podręcznik. Zakres podstawowy i rozszerzony – rozwiązania i odpowiedzi
Zadanie 11, strona 144, Matematyka z kluczem. Klasa 6. Zbiór zadań - rozwiązania i odpowiedzi
Zadanie 34, strona 270, MATeMAtyka 4. Zakres podstawowy i rozszerzony. Podręcznik - rozwiązania i odpowiedzi
Ćwiczenie 1., strona 52, Matematyka wokół nas. Klasa 6. Zeszyt ćwiczeń. Część 2 – rozwiązania i odpowiedzi
Zadanie Wyzwanie, strona 123, Matematyka wokół nas. Klasa 4. Podręcznik - rozwiązania i odpowiedzi
REKLAMA
Skul
Zadania z tego działu
Pola wielokątów
57
Pole prostokąta
57

Zadanie 1.

57

Zadanie 2.

57

Podpunkt a)

57

Podpunkt b)

57

Zadanie 3.

57

Podpunkt a)

57

Podpunkt b)

57

Podpunkt c)

57

Podpunkt d)

57

Zadanie 4.

57

Podpunkt a)

57

Podpunkt b)

57

Podpunkt c)

57

Zadanie 5.

58

Podpunkt a)

58

Podpunkt b)

58

Podpunkt c)

58

Zadanie 6.

58

Zadanie 7.

58

Zadanie 8.

59

Zadanie 9.

59

Zadanie 10.

59

Zadanie 11.

59

Podpunkt a)

59

Podpunkt b)

59
Pole równoległoboku i rombu
60

Zadanie 1.

60

Zadanie 2.

60

Zadanie 3.

60

Zadanie 4.

60
Pole trójkąta
61

Zadanie 1.

61

Zadanie 2.

61

Zadanie 3.

61
Pole trapezu
61

Zadanie 1.

61

Zadanie 2.

62

Zadanie 3.

62
Sprawdź, ile umiesz
62

Zadanie 1.

62

Zadanie 2.

63

Zadanie 3.

63

Zadanie 4.

63

Zadanie 5.

63

Zadanie Zagadka nr 5.

63
Pełny spis treści
Skul
Artboard 1
Skul.pl
  • Napisz do nas
  • FAQ
  • Mapa Serwisu
  • Google Play
  • App Store

Korzystanie z portalu oznacza akceptację Regulaminu.
Polityka prywatności. Ustawienia preferencji. Copyright: INTERIA.PL 1999-2023 Wszystkie prawa zastrzeżone.