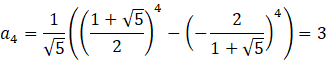
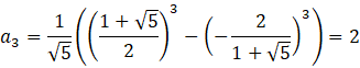
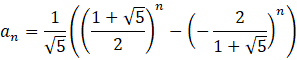
W tym zadaniu musisz obliczyć cztery pierwsze wyrazy ciągu Fibonacciego za pomocą wzoru ogólnego.
Dwa pierwsze wyrazy ciągu Fibonacciego to 1, a każdy następny jest sumą dwóch poprzednich.
Ćwiczenie A.
50Ćwiczenie C.
52Ćwiczenie E.
53Ćwiczenie F.
54Przykład 1.
54Zadanie 2.
55Zadanie 3.
55Zadanie 4.
55Zadanie 5.
55Zadanie 6.
55Zadanie 7.
55Zadanie 10.
56Zadanie 11.
56Zadanie 12.
56Zadanie 13.
56Zadanie 14.
57Zadanie 15.
57Zadanie 16.
57Zadanie 17.
57Zadanie 18.
57Zadanie 19.
57Zadanie 20.
58Zadanie 21.
58Zadanie 22.
58Zadanie 23.
58Zadanie 24.
58Zadanie 25.
58Zadanie 26.
59Zadanie 27.
59Zadanie 29.
59Ćwiczenie A.
60Ćwiczenie B.
60Ćwiczenie C.
60Zadanie 1.
62Zadanie 2.
62Zadanie 3.
62Zadanie 4.
62Zadanie 6.
62Zadanie 7.
62Zadanie 9.
62Zadanie 13.
63Zadanie 14.
63Zadanie 15.
63Zadanie 17.
63Zadanie 19.
64Zadanie 20.
64Zadanie 22.
64Zadanie 23.
64Zadanie 1.
67Zadanie 4.
67Zadanie 5.
67Zadanie 6.
67Zadanie 7.
67Zadanie 10.
68Zadanie 11.
68Zadanie 12.
68Zadanie 13.
68Zadanie 14.
69Zadanie 15.
69Zadanie 16.
69Zadanie 17.
69Ćwiczenie A.
70Ćwiczenie B.
71Ćwiczenie C.
71Zadanie 1.
73Zadanie 2.
73Zadanie 3.
74Zadanie 4.
74Zadanie 5.
74Zadanie 6.
73Zadanie 7.
74Zadanie 10.
74Zadanie 12.
75Zadanie 13.
75Zadanie 14.
75Zadanie 15.
75Zadanie 16.
75Zadanie 17.
75Zadanie 18.
75Zadanie 19.
76Ćwiczenie A.
78Zadanie 1.
78Zadanie 2.
78Zadanie 3.
79Zadanie 4.
79Zadanie 5.
79Zadanie 7.
79Zadanie 8.
79Przykład 4.
84Zadanie 1.
84Zadanie 2.
85Zadanie 3.
85Zadanie 4.
85Zadanie 5.
85Zadanie 7.
86Zadanie 8.
86Zadanie 10.
86Zadanie 12.
86Ćwiczenie C.
90Zadanie 1.
94Zadanie 3.
94Zadanie 4.
94Zadanie 5.
94Zadanie 6.
95Zadanie 7.
95Zadanie 8.
95Zadanie 9.
95Zadanie 10.
95Ćwiczenie A.
96Przykład 1.
97Ćwiczenie B.
97Ćwiczenie C.
97Ćwiczenie D.
97Ćwiczenie E.
97Przykład 3.
97Zadanie 1.
101Zadanie 3.
101Zadanie 4.
101Zadanie 5.
101Zadanie 6.
101Zadanie 7.
101Zadanie 8.
102Zadanie 9.
102Zadanie 10.
102Zadanie 11.
102Zadanie 12.
102Zadanie 13.
102Zadanie 14.
103Zadanie 15.
103Zadanie 16.
103Zadanie 17.
103Zadanie 18.
103Ćwiczenie B.
105Zadanie 1.
107Zadanie 2.
107Zadanie 3.
108Zadanie 4.
108Zadanie 5.
108Zadanie 6.
108Zadanie 10.
110Zadanie 2.
112Zadanie 3.
112Zadanie 14.
112Zadanie 15.
112