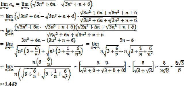
Podaj granicę ciągu opisanego wzorem
. Dodatkowo zakoduj cyfrę jedności i dwie pierwsze cyfry po przecinku rozwinięcia dziesiętnego otrzymanego wyniku.
Zakodowane będzie: 144.
Aby obliczyć granicę w tym zadaniu, musisz najpierw przemnożyć wyjściowe wyrażenie przez sprzężenie.
Zakodowane będzie: 144.
Ćwiczenie wprowadzające1.
146Ćwiczenie wprowadzające2.
147Ćwiczenie wprowadzające3.
147Ćwiczenie wprowadzające4.
147Zadanie 1.
148Zadanie 2.
148Zadanie 3.
148Zadanie 4.
148Ćwiczenie wprowadzające1.
149Ćwiczenie wprowadzające2.
149Ćwiczenie wprowadzające3.
149Ćwiczenie wprowadzające4.
150Ćwiczenie wprowadzające5.
150Ćwiczenie wprowadzające6.
150Zadanie 1.
151Zadanie 2.
151Zadanie 3.
151Zadanie 4.
151Zadanie 5.
151Zadanie 6.
151Zadanie 7.
151Zadanie 8.
151Zadanie 9.
151Zadanie 10.
152Zadanie 11.
152Ćwiczenie wprowadzające1.
153Ćwiczenie wprowadzające2.
154Ćwiczenie wprowadzające3.
154Ćwiczenie wprowadzające4.
154Ćwiczenie wprowadzające5.
154Ćwiczenie wprowadzające6.
154Ćwiczenie wprowadzające7.
155Ćwiczenie wprowadzające8.
155Zadanie 1.
155Zadanie 2.
155Zadanie 3.
155Zadanie 4.
155Zadanie 5.
156Zadanie 6.
156Zadanie 7.
156Zadanie 8.
156Zadanie 9.
156Zadanie 10.
156Zadanie 11.
156Zadanie 12.
156Zadanie 13.
156Ćwiczenie wprowadzające1.
157Ćwiczenie wprowadzające2.
157Ćwiczenie wprowadzające3.
158Ćwiczenie wprowadzające4.
158Ćwiczenie wprowadzające5.
159Zadanie 1.
159Zadanie 2.
160Zadanie 3.
160Zadanie 4.
160Zadanie 5.
160Zadanie 6.
160Zadanie 7.
160Ćwiczenie wprowadzające1.
162Ćwiczenie wprowadzające2.
162Ćwiczenie wprowadzające4.
162Ćwiczenie wprowadzające5.
162Zadanie 1.
163Zadanie 2.
163Zadanie 5.
163Zadanie 6.
163Zadanie 7.
163Zadanie 8.
163Zadanie 9.
163Ćwiczenie wprowadzające1.
164Ćwiczenie wprowadzające2.
165Ćwiczenie wprowadzające3.
165Ćwiczenie wprowadzające4.
165Ćwiczenie wprowadzające5.
165Ćwiczenie wprowadzające6.
165Ćwiczenie wprowadzające7.
166Zadanie 1.
166Zadanie 2.
166Zadanie 3.
166Zadanie 4.
166Zadanie 5.
167Zadanie 7.
167Zadanie 8.
167Zadanie 9.
167Zadanie 13.
167Ćwiczenie wprowadzające1.
168Ćwiczenie wprowadzające2.
168Ćwiczenie wprowadzające3.
169Zadanie 1.
169Zadanie 2.
169Zadanie 3.
169Zadanie 4.
169Zadanie 5.
170Zadanie 6.
170Zadanie 7.
170Zadanie 8.
170Zadanie 9.
170Zadanie 10.
170Zadanie 11.
170Zadanie 12.
170Ćwiczenie wprowadzające1.
171Ćwiczenie wprowadzające2.
172Ćwiczenie wprowadzające3.
172Ćwiczenie wprowadzające4.
173Ćwiczenie wprowadzające5.
173Ćwiczenie wprowadzające6.
173Zadanie 1.
173Zadanie 2.
173Zadanie 3.
174Zadanie 4.
174Zadanie 5.
174Zadanie 6.
174Zadanie 7.
174Zadanie 9.
174Zadanie 10.
174Zadanie 11.
174Zadanie 12.
174Ćwiczenie wprowadzające1.
175Ćwiczenie wprowadzające2.
175Ćwiczenie wprowadzające3.
175Ćwiczenie wprowadzające4.
175Ćwiczenie wprowadzające5.
176Ćwiczenie wprowadzające6.
176Ćwiczenie wprowadzające7.
176Zadanie 1.
176Zadanie 2.
177Zadanie 3.
177Zadanie 4.
177Zadanie 5.
177Zadanie 6.
177Ćwiczenie wprowadzające1.
178Ćwiczenie wprowadzające2.
178Ćwiczenie wprowadzające3.
179Ćwiczenie wprowadzające5.
179Zadanie 1.
180Zadanie 2.
180Zadanie 3.
180Zadanie 6.
180Ćwiczenie wprowadzające1.
181Ćwiczenie wprowadzające2.
181Ćwiczenie wprowadzające3.
182Ćwiczenie wprowadzające4.
182Ćwiczenie wprowadzające6.
182Zadanie 1.
183Zadanie 2.
183Zadanie 4.
183Zadanie 5.
183Zadanie 6.
183Zadanie 7.
183Zadanie 9.
184Zadanie 11.
184Ćwiczenie wprowadzające1.
185Ćwiczenie wprowadzające2.
186Zadanie 1.
186Zadanie 7.
186Zadanie 8.
187Zadanie 9.
187Zadanie 10.
187Zadanie 11.
187Zadanie 12.
187Zadanie podsumowujące 1.
188Ćwiczenie wprowadzające1.
189Ćwiczenie wprowadzające2.
190Ćwiczenie wprowadzające3.
190Ćwiczenie wprowadzające4.
191Ćwiczenie wprowadzające5.
192Ćwiczenie wprowadzające7.
192Ćwiczenie wprowadzające8.
192Zadanie 1.
193Zadanie 2.
193Zadanie 3.
193Zadanie 6.
193Zadanie 7.
193Zadanie 12.
194Zadanie 13.
194Ćwiczenie wprowadzające1.
195Ćwiczenie wprowadzające3.
196Ćwiczenie wprowadzające4.
197Zadanie 1.
197Zadanie 2.
197Zadanie 3.
197Ćwiczenie wprowadzające1.
198Ćwiczenie wprowadzające2.
199Ćwiczenie wprowadzające3.
199Zadanie 1.
199Zadanie 2.
199Zadanie 3.
199Zadanie 4.
199Ćwiczenie wprowadzające1.
200Ćwiczenie wprowadzające2.
200Ćwiczenie wprowadzające3.
201Ćwiczenie wprowadzające4.
201Ćwiczenie wprowadzające5.
201Ćwiczenie wprowadzające6.
201Ćwiczenie wprowadzające7.
202Zadanie 1.
202Zadanie 2.
202Zadanie 3.
202Zadanie 4.
203Zadanie 5.
203Zadanie 6.
203Ćwiczenie wprowadzające1.
204Ćwiczenie wprowadzające2.
204Ćwiczenie wprowadzające3.
205Ćwiczenie wprowadzające4.
205Ćwiczenie wprowadzające5.
206Zadanie 1.
206Zadanie 2.
206Zadanie 3.
206Zadanie 4.
206Zadanie 5.
206Zadanie 6.
206Zadanie 7.
206Zadanie 9.
206Zadanie 10.
206Zadanie 11.
206Ćwiczenie wprowadzające1.
208Ćwiczenie wprowadzające3.
209Ćwiczenie wprowadzające4.
209Ćwiczenie wprowadzające5.
210Ćwiczenie wprowadzające6.
210Zadanie 1.
211Zadanie 2.
211Zadanie 3.
211Zadanie 4.
211Zadanie 7.
211Zadanie 8.
211Zadanie 9.
212Zadanie 10.
212Zadanie 11.
212Zadanie 12
212Zadanie 13.
212Zadanie 14.
212Zadanie 1.
213Zadanie 3.
213Zadanie 4.
213Zadanie 6.
214Zadanie 7
215Zadanie 8
216Zadanie 10.
216Zadanie 11.
216Zadanie wprowadzające1.
217Zadanie wprowadzające3.
217Zadanie wprowadzające4.
217Zadanie wprowadzające5.
217Zadanie wprowadzające6.
217Zadanie wprowadzające7.
217Zadanie wprowadzające8.
217Zadanie wprowadzające9.
217Zadanie wprowadzające10.
217Zadanie wprowadzające11.
218Zadanie wprowadzające12.
218Zadanie wprowadzające13.
218Zadanie wprowadzające14.
218Zadanie wprowadzające15.
218Zadanie wprowadzające16.
218Zadanie wprowadzające17.
218Zadanie wprowadzające18.
218Zadanie wprowadzające19.
218Zadanie 1.
219Zadanie 2.
219Zadanie 3.
219Zadanie 4.
219Zadanie 6.
219Zadanie 8.
219Zadanie 11.
220Zadanie 12.
220Zadanie 13.
220Zadanie 14.
220Zadanie 15.
220Zadanie 16.
220Zadanie 17.
220