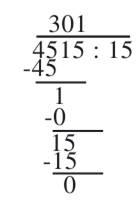
W tym zadaniu musisz obliczyć 4515 : 15 sposobem pisemnym i sprawdzić wynik za pomocą mnożenia.
sprawdzenie: 301 ꞏ 15 = 4515.
W pierwszym kroku zapisz kreskę, ponad twoim działaniem. Następnie zaczynając od lewej, weź pierwszą cyfrę, większą od dzielnika i wykonaj dzielenie. Wynik zapisz nad kreską. Teraz wykonaj mnożenie: poprzednio otrzymany wynik pomnóż razy dzielnik i zapisz pod dzielną. Wykonaj odejmowanie, a jego wynik podziel przez dzielnik. Sprawdzenie wykonaj za pomocą mnożenia: wynik ꞏ dzielnik = dzielna.
Zadanie wprowadzające 1
8Zadanie wprowadzające 2
8Zadanie 1
9Zadanie 3
10Zadanie 4
11Zadanie 5
11Zadanie 6
11Zadanie 7
11Zadanie 12
13Zadanie co umiem 2?
14Zadanie wprowadzające 1
16Zadanie wprowadzające 2
16Zadanie wprowadzające 3
16Zadanie 1
17Zadanie 2
17Zadanie 3
17Zadanie 4
17Zadanie 5
18Zadanie 6
18Zadanie 7
18Zadanie 8
18Zadanie wprowadzające 4
19Zadanie 15
19Zadanie 16
20Zadanie 18
20Zadanie 19
20Zadanie co umiem 1?
21Zadanie co umiem 2?
21Zadanie co umiem 3?
21Zadanie co umiem 4?
21Zadanie wprowadzające1
22Zadanie 1
22Zadanie 2
23Zadanie 3
23Zadanie 4
23Zadanie 5
23Zadanie wprowadzające 2
23Zadanie 6
24Zadanie 7
24Zadanie 13
25Zadanie 14
25Zadanie 15
25Zadanie 16
25Zadanie co umiem 1?
26Zadanie co umiem 2?
26Zadanie co umiem 4?
26Zadanie wprowadzające1
27Zadanie wprowadzające2
27Zadanie 1
28Zadanie 2
28Zadanie 3
28Zadanie wprowadzające3
29Zadanie 4
29Zadanie 6
29Zadanie 7
29Zadanie 8
30Zadanie 9
30Zadanie 10
30Zadanie 11
30Zadanie 12
30Zadanie 13
31Zadanie 14
31Zadanie 15
32Zadanie 16
32Zadanie 17
32Zadanie 18
32Zadanie 19
32Zadanie co umiem 1?
33Zadanie co umiem 2?
33Zadanie wprowadzające1
35Zadanie wprowadzające2
35Zadanie 1
37Zadanie 2
37Zadanie 3
37Zadanie 4
38Zadanie 5
38Zadanie 6
39Zadanie 7
39Zadanie 8
39Zadanie 9
39Zadanie 10
40Zadanie 14
40Zadanie 15
41Zadanie 16
41Zadanie 17
41Zadanie 29
42Zadanie 30
42Zadanie co umiem 1?
43Zadanie co umiem 2?
43Zadanie wprowadzające1
44Zadanie 1
45Zadanie 2
46Zadanie 3
46Zadanie 6
47Zadanie 7
47Zadanie 8
47Zadanie 9
48Zadanie 12
48Zadanie 13
49Zadanie 14
49Zadanie wprowadzające 6
49Zadanie 19
50Zadanie 21
50Zadanie co umiem 1?
51Zadanie co umiem 2?
51Zadanie co umiem 3?
51Zadanie wprowadzające1
52Zadanie wprowadzające2
52Zadanie 1
54Zadanie 2
54Zadanie 5
54Zadanie 6
55Zadanie 7
55Zadanie 8
55Zadanie 9
55Zadanie 11
56Zadanie 12
56Zadanie 13
57Zadanie 14
57Zadanie co umiem 1?
59Zadanie co umiem 2?
59Zadanie co umiem 4?
59Zadanie wprowadzające2
60Zadanie 1
60Zadanie wprowadzające3
61Zadanie 2
61Zadanie wprowadzające4
62Zadanie 3
63Zadanie 4
63Zadanie 5
63Zadanie 6
63Zadanie 7
63Zadanie 8
64Zadanie 9
64Zadanie 10
64Zadanie 11
64Zadanie 13
65Zadanie 14
65Zadanie co umiem 1?
65Zadanie wprowadzające1
66Zadanie 1
67Zadanie 2
67Zadanie 3
67Zadanie 4
67Zadanie 5
67Zadanie 6
67Zadanie 7
67Zadanie 8
68Zadanie 11
68Zadanie 12
68Zadanie 13
69Zadanie 14
69Zadanie co umiem 1?
70Zadanie co umiem 2?
70Zadanie co umiem 3?
70Zadanie 2
71Zadanie 9
72Zadanie 10
74Zadanie 12
74Zadanie 15
75Zadanie 16
75Zadanie 17
76Zadanie 20
77Zadanie 21
77Zadanie 26
78Zadanie 28
78Zadanie 30
79Zadanie 31
80Zadanie 3
81Zadanie 4
81Zadanie 5
81Zadanie 6
82Zadanie 7
82Zadanie 10
82