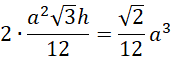
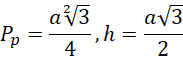
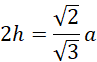
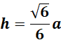
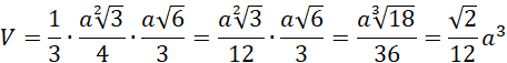
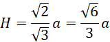
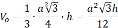
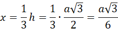
Stworzono bryłę zbudowaną z czworościanu foremnego oraz ostrosłupów doklejonych do każdej z jego ścian. Wiedząc, że objętość tej bryły jest trzy razy większa od objętości samego czworościanu wyznacz wysokość ostrosłupów.
Wyznacz i porównaj wartości objętości brył. Następnie wyznacz wartość wysokości ostrosłupów.
Zadanie 1.
191Zadanie 4.
191Zadanie 11.
192Zadanie 12.
193Zadanie 17.
193Zadanie 19.
194Zadanie 20.
194Zadanie 24.
194Zadanie 32.
195Zadanie 34.
195Zadanie 37.
195Zadanie 42.
196Zadanie 45.
197Zadanie 47.
197Zadanie 48.
180Zadanie 49.
180Zadanie 52.
198Zadanie 54.
198Zadanie 60.
199Zadanie 61.
199Zadanie 68.
199Zadanie 69.
200Zadanie 71.
200Zadanie 72.
200Zadanie 73.
200Zadanie 74.
200Zadanie 78.
201Zadanie 79.
201Zadanie 81.
201Zadanie 82.
202Zadanie 83.
202Zadanie 85.
202Zadanie 86.
202Zadanie 92.
203Zadanie 93.
203Zadanie 98.
203Zadanie 100.
204Zadanie 109.
205Zadanie 110.
206Zadanie 111.
206Zadanie 119.
207Zadanie 121.
207Zadanie 10.
209Zadanie 16.
210