Odpowiedź C
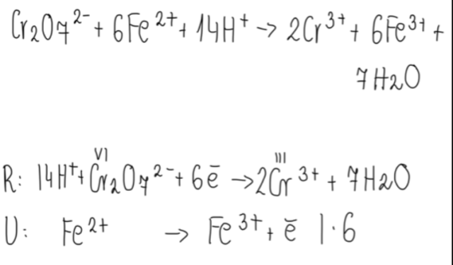
Utleniacz to drobina, która może doprowadzić do utlenienia drugiej drobiny, a sam w tej reakcji się redukuje.
Reduktor to drobina, która może doprowadzić do redukcji drugiej drobiny, a sam w tej reakcji się utlenia.
Reakcja chemiczna jest reakcją utleniania, kiedy pierwiastek zwiększa swój stopień utlenienia, tj. w substratach występuje on na stopniu utlenienia niższym niż w produktach.
Reakcja chemiczna jest reakcją redukcji, kiedy pierwiastek zmniejsza swój stopień utlenienia, tj. w substratach występuje on na stopniu utlenienia wyższym niż w produktach.