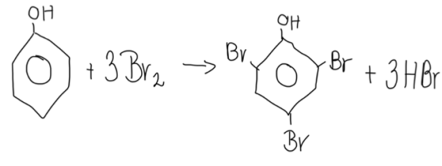
Dokończ bądź uzupełnij i zbilansuj równania reakcji chemicznych. Nazwij produkty organiczne.
Podstawniki w pierścieniu aromatycznym mogą decydować o tym, gdzie zostanie podłączony kolejny podstawnik po reakcji substytucji elektrofilowej. W związku z tym, podstawniki dzielimy na dwie grupy:
a) podstawniki I-rodzaju à kierują nowe podstawniki w pozycji 2, 4 lub 6 (pozycje orto- lub para-). Należą do nich grupy alkilowe, grupa aminowa, grupa hydroksylowa oraz wszelkie fluorowce;
b) podstawniki II-rodzaju à kierują nowe podstawniki w pozycje 3 lub 5
(pozycje meta-). Należą do nich grupa nitrowa, grupa karboksylowa oraz grupa nitrylowa.
Ćwiczenie 5.
316Ćwiczenie 7.
316Ćwiczenie 11.
317Ćwiczenie 13.
317Ćwiczenie 15.
317Ćwiczenie 17.
317Ćwiczenie 18.
317Ćwiczenie 19.
318Ćwiczenie 23.
318Ćwiczenie 24.
318Ćwiczenie 26.
318Ćwiczenie 28.
319Ćwiczenie 30.
319Ćwiczenie 33.
319Ćwiczenie 39.
320Ćwiczenie 40.
320Ćwiczenie 41.
320Ćwiczenie 42.
320Ćwiczenie 47.
321Ćwiczenie 52.
321Ćwiczenie 55.
322Ćwiczenie 56.
322Ćwiczenie 63.
322Ćwiczenie 64.
323Ćwiczenie 65.
323Ćwiczenie 69.
323Ćwiczenie 70.
324Ćwiczenie 73.
324Ćwiczenie 74.
324Ćwiczenie 76.
324Ćwiczenie 77.
324Ćwiczenie 82.
325Ćwiczenie 83.
325Ćwiczenie 85.
325Ćwiczenie 86.
325Ćwiczenie 90.
326Ćwiczenie 91.
326Ćwiczenie 92.
326Ćwiczenie 94.
326Ćwiczenie 96.
326Ćwiczenie 97.
326Ćwiczenie 103.
327Ćwiczenie 104.
327Ćwiczenie 105.
327Ćwiczenie 106.
328Ćwiczenie 107.
328Ćwiczenie 108.
328Ćwiczenie 109.
328Ćwiczenie 110.
328Ćwiczenie 111.
328Ćwiczenie 114.
328Ćwiczenie 116.
329Ćwiczenie 118.
329Ćwiczenie 124.
330Ćwiczenie 125.
330Ćwiczenie 126.
330Ćwiczenie 127.
330Ćwiczenie 128.
330Ćwiczenie 129.
330Ćwiczenie 132.
331Ćwiczenie 136.
331Ćwiczenie 138.
332Ćwiczenie 140.
332Ćwiczenie 142.
332Ćwiczenie 143.
332Ćwiczenie 150.
333Ćwiczenie 151.
333Ćwiczenie 162.
335Ćwiczenie 163.
335Ćwiczenie 165.
335Ćwiczenie 174.
336