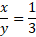
Na początku zapisz podany w poleceniu stosunek i wyznacz y:
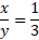
Zrób to samo dla drugiego stosunku:
Stąd wniosek, że:
Wzór empiryczny jest to wzór, który przedstawia stosunek atomów pierwiastków w cząsteczce przedstawiony w postaci najmniejszych liczb całkowitych.
Wzór rzeczywisty wskazuje rzeczywiste liczby atomów w związku chemicznym.
Oblicz masę molową ustalonego wzoru empirycznego:
Okazuje się, że wzór ten ma taką samą masę jak masa cząsteczkowa związku, tak, więc wzór rzeczywisty jest taki sam, jak wzór empiryczny: