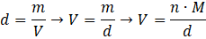
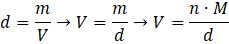
W tym zadaniu oblicz objętość próbki, która zawiera 0,5 mola atomów ołowiu o gęstości 11,3 g/cm3.
Skorzystaj ze wzoru na gęstość i przekształć go:
Odczytaj masę molową z układu okresowego pierwiastków i podstaw do wzoru:
Zadanie 3.
5Zadanie 17.
6Zadanie 24.
7Zadanie 26.
7Zadanie 27.
7Zadanie 28.
7Zadanie 29.
7Zadanie 30.
8Zadanie 31.
8Zadanie 34.
8Zadanie 35.
8Zadanie 37.
8Zadanie 38.
8Zadanie 42.
9Zadanie 43.
9Zadanie 45.
9Zadanie 46.
9Zadanie 47.
9Zadanie 48.
9Zadanie 49.
9Zadanie 53.
10Zadanie 55.
10Zadanie 62.
10Zadanie 63.
11Zadanie 68.
11Zadanie 69.
11Zadanie 76.
12Zadanie 77.
12Zadanie 78.
12Zadanie 79.
12Zadanie 80.
12Zadanie 81.
12Zadanie 83.
13Zadanie 89.
13Zadanie 91.
14Zadanie 94.
14Zadanie 97.
14Zadanie 102.
15Zadanie 104.
15Zadanie 120.
17Zadanie 128.
18Zadanie 136.
18Zadanie 137.
19Zadanie 138.
18Zadanie 140.
19Zadanie 150.
20Zadanie 153.
20Zadanie 154.
21Zadanie 155.
21