Zadanie

W tym zadaniu oblicz objętość pary wodnej powstałej w wyniku prażenia 20 g wodorotlenku w T = 373,15 K i pod p = 1013 hPa.

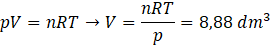
Rozwiązanie

Wyjaśnienie

Zadania z tego działu
Atomy, cząsteczki i stechiometria chemiczna
5

Zadania przypisane do działu

Zadanie 3.

5

Zadanie 17.

6

Zadanie 24.

7

Zadanie 26.

7

Zadanie 27.

7

Zadanie 28.

7

Zadanie 29.

7

Zadanie 30.

8

Zadanie 31.

8

Zadanie 34.

8

Zadanie 35.

8

Zadanie 37.

8

Zadanie 38.

8

Zadanie 42.

9

Zadanie 43.

9

Zadanie 45.

9

Zadanie 46.

9

Zadanie 47.

9

Zadanie 48.

9

Zadanie 49.

9

Zadanie 53.

10

Zadanie 55.

10

Zadanie 62.

10

Zadanie 63.

11

Zadanie 68.

11

Zadanie 69.

11

Zadanie 76.

12

Zadanie 77.

12

Zadanie 78.

12

Zadanie 79.

12

Zadanie 80.

12

Zadanie 81.

12

Zadanie 83.

13

Zadanie 89.

13

Zadanie 91.

14

Zadanie 94.

14

Zadanie 97.

14

Zadanie 102.

15

Zadanie 104.

15

Zadanie 120.

17

Zadanie 128.

18

Zadanie 136.

18

Zadanie 137.

19

Zadanie 138.

18

Zadanie 140.

19

Zadanie 150.

20

Zadanie 153.

20

Zadanie 154.

21

Zadanie 155.

21