Skul.pl
  • Opracowania zadań z podręczników
  • Sprawdziany Fizyka. Klasa 7-8. Zbiór zadań - rozwiązania i odpowiedzi
  • Zadanie 12

Sprawdziany Fizyka. Klasa 7-8. Zbiór zadań - rozwiązania i odpowiedzi

Zbiór zadań, Wydawnictwo: Dragon Edukacja
Poprzednie

Zadanie 12 - strona 28

Następne

Zadanie

W tym zadaniu musisz obliczyć energię mając dane masę, wysokość i prędkość i współczynnik g.

Rozwiązanie

E = 32 J

Skul

Wyjaśnienie

W zadaniu podano masę, wysokość, prędkość i współczynnik g.

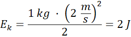
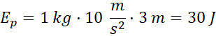
m = 1 kg

h = 3 m

v = 2

g = 10

Całkowita energia to suma energii kinetycznej i potencjalnej.

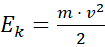
Wzór na energię kinetyczną:

Możemy podstawić dane do wzoru:

Wzór na energię potencjalną:

Możemy podstawić dane do wzoru:

E = +

E = 2 J + 30 J = 32 J

Poprzednie

Fizyka - wybrane pytania

Zadanie 15, strona 59, Fizyka. Klasy 1-3. Zakres podstawowy. Zbiór zadań - rozwiązania i odpowiedzi
Zadanie 6, strona 23, Sprawdziany Fizyka. Klasa 7-8. Zbiór zadań - rozwiązania i odpowiedzi
Zadanie To warto umieć 6., strona 235, Odkryć fizykę. Klasa 3. Zakres podstawowy. Podręcznik - rozwiązania i odpowiedzi
Zadanie 2.4., strona 16, Świat fizyki. Klasa 7. Zbiór zadań - rozwiązania i odpowiedzi
Pytanie 1, strona 5, Fizyka. Klasa 8. Podręcznik - rozwiązania i odpowiedzi
Zadanie 6.9., strona 266, Zrozumieć fizykę. Klasa 1. Zakres rozszerzony. Zbiór zadań - rozwiązania i odpowiedzi
Ćwiczenie 32.1, strona 149, Fizyka. Klasa 3. Zakres rozszerzony. Zbiór zadań - rozwiązania i odpowiedzi
Zadanie 11.41., strona 153, Fizyka. Klasa 7-8. Zbiór zadań - rozwiązania i odpowiedzi
Zadanie 6., strona 230, Fizyka. Klasa 7-8. Zbiór zadań - rozwiązania i odpowiedzi
Zadanie 1, strona 7, Spotkania z fizyką. Klasa 8. Zeszyt ćwiczeń - rozwiązania i odpowiedzi
REKLAMA
Skul
Zadania z tego działu
6. Praca, moc, energia
26

Zadania przypisane do działu

Zadanie 1

26

Zadanie 2

26

Podpunkt 1.

26

Podpunkt 2.

26

Zadanie 3

26

Zadanie 4

26

Zadanie 5

26

Zadanie 6

26

Podpunkt 1.

26

Podpunkt 2.

26

Zadanie 7

27

Zadanie 8

27

Zadanie 9

28

Zadanie 10

28

Zadanie 11

28

Podpunkt A.

28

Podpunkt B.

28

Podpunkt C.

28

Zadanie 12

28
Pełny spis treści
Skul
Artboard 1
Skul.pl
  • Napisz do nas
  • FAQ
  • Mapa Serwisu
  • Google Play
  • App Store

Korzystanie z portalu oznacza akceptację Regulaminu.
Polityka prywatności. Ustawienia preferencji. Copyright: INTERIA.PL 1999-2023 Wszystkie prawa zastrzeżone.