Skul.pl
  • Opracowania zadań z podręczników
  • To jest fizyka. Klasa 7. Zeszyt ćwiczeń - rozwiązania i odpowiedzi
  • Zadanie 4.

To jest fizyka. Klasa 7. Zeszyt ćwiczeń - rozwiązania i odpowiedzi

Zeszyt ćwiczeń, Wydawnictwo: Nowa Era
Poprzednie

Zadanie 4. - strona 74

Następne

Zadanie

Oblicz energię kinetyczną Natalii, gdyby poruszała się ona z inną prędkością.

Rozwiązanie

D. 3000 J

Skul

Wyjaśnienie

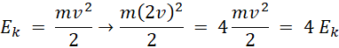
Znasz energię kinetyczną Natalii, gdy poruszała się z mniejszą prędkością, ponieważ prędkość we wzorze na energię kinetyczną znajduje się w kwadracie, to jej dwukrotny wzrost spowoduje 4-krotny wzrost energii kinetycznej.

Ek = 4 ⋅ 750 J = 3000 J

Poprzednie
Następne

Fizyka - wybrane pytania

Pytanie 17., strona 124, Fizyka z plusem. Klasa 8. Podręcznik - rozwiązania i odpowiedzi
Zadanie 2., strona 71, To jest fizyka. Klasa 7. Zeszyt ćwiczeń - rozwiązania i odpowiedzi
Zadanie 4, strona 202, To jest fizyka. Klasa 7. Podręcznik - rozwiązania i odpowiedzi
Ćwiczenie doświadczenie 3., strona 203, Fizyka. To jest fizyka. Klasa 8. Podręcznik - rozwiązania i odpowiedzi
Zadanie 20., strona 264, Zrozumieć fizykę 4. Zakres rozszerzony. Zbiór zadań - rozwiązania i odpowiedzi
Zadanie 11, strona 77, Fizyka. Klasy 1-3. Zakres podstawowy. Zbiór zadań - rozwiązania i odpowiedzi
Zadanie 1.39., strona 12, Świat fizyki. Klasa 7. Zbiór zadań - rozwiązania i odpowiedzi
Zadanie 12., strona 199, Odkryć fizykę. Klasa 2. Podręcznik. Zakres podstawowy - rozwiązania i odpowiedzi
Zadanie 2, strona 98, Fizyka. Klasa 3. Zakres podstawowy. Podręcznik - rozwiązania i odpowiedzi
Zadanie 1, strona 21, Spotkania z fizyką. Klasa 7. Zeszyt ćwiczeń - rozwiązania i odpowiedzi
REKLAMA
Skul
Zadania z tego działu
IV. Praca i Energia
57
21. Praca
57

Zadanie 1.

57

Zadanie 2.

57

Podpunkt a)

57

Podpunkt b)

57

Zadanie 3.

58

Zadanie 4.

58

Podpunkt a)

58

Podpunkt b)

58

Podpunkt c)

58
22. Energia
59

Zadanie 1.

59

Zadanie 2.

59

Zadanie 3.

60

Podpunkt a)

60

Podpunkt b)

60

Podpunkt c)

60

Zadanie 4.

60
23. Energia potencjalna grawitacji
61

Zadanie 1.

61

Zadanie 2.

61

Zadanie 3.

62

Zadanie 4.

62

Zadanie Skok na Księżycu

63
24. Energia kinetyczna
64

Zadanie 1.

64

Zadanie 2.

64

Zadanie 3.

65

Zadanie Twoja energia

65
25. Przemiany energii mechanicznej
66

Zadanie 1.

66

Podpunkt a)

66

Podpunkt b)

66

Zadanie 2.

67

Zadanie Policzmy razem

67

Zadanie Wahadło z poprzeczką

69
26. Moc
70

Zadanie 1.

70

Podpunkt a)

70

Podpunkt b)

70

Podpunkt c)

70

Podpunkt d)

70

Podpunkt e)

70

Zadanie 2.

71

Zadanie 3.

71

Zadanie Wyłączone? Niezupełnie.

72
Sprawdź, czy potrafisz.
74

Zadanie 1.

74

Zadanie 2.

74

Zadanie 3.

74

Zadanie 4.

74

Zadanie 5.

74

Zadanie 6.

74

Zadanie 7.

74
Pełny spis treści
Skul
Artboard 1
Skul.pl
  • Napisz do nas
  • FAQ
  • Mapa Serwisu
  • Google Play
  • App Store

Korzystanie z portalu oznacza akceptację Regulaminu.
Polityka prywatności. Ustawienia preferencji. Copyright: INTERIA.PL 1999-2023 Wszystkie prawa zastrzeżone.