Dane:
m = 0,5 kg – masa piłki
Szukane:
h = ? – wysokość końcowa
Sposób I
Obliczamy energię kinetyczną piłki na początku ruchu.
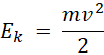
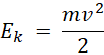
Zapisz wzór na energię kinetyczną:
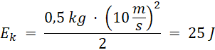
Wykonaj obliczenia dla danych z zadania:
Ta energia zmieni się w energię potencjalną, a więc
Oblicz wysokość, na jakiej piłka o masie m = 0,5 kg ma obliczoną wcześniej energię potencjalną. Możesz skorzystać z przykładu ze str. 122 podręcznika.
Sposób II
W chwili wyrzucenia piłka ma energię kinetyczną Ek.
Zapisz wzór na tę energię:
W najwyższym punkcie lotu, na wysokości h, piłka ma energię potencjalną Ep.
Zapisz wzór na tę energię:
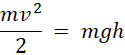
Cała energia kinetyczna zmienia się w energię potencjalną, więc:
Zastąp symbole energii zapisanymi wcześniej wzorami:
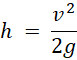
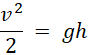
Jedna z wielkości występuje po obu stronach równania. Podziel je stronami przez tę wielkość. Co otrzymasz?
Wyznacz z tego wzoru h:
Podstaw dane z zadania:
Czy wszystkie dane były podobne do rozwiązania zadania? Odpowiedź uzasadnij.
Nie, można było rozwiązać zadanie bez wiedzy o masie ciała, jednak wymagało to odpowiedniego podejścia do rozwiązania zadania.
Odpowiedź: Piłka wzniesie się na wysokość 5 m.
Postępuj zgodnie z instrukcjami w książce.