Furgonetka
Lewy obserwator: Ep = 90 kJ
Prawy obserwator: Ep = 210 kJ
Samochód osobowy
Lewy obserwator: Ep = 27 kJ
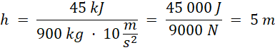
Prawy obserwator: h = 5 m
Energię potencjalną możesz obliczyć także względem jakiegoś poziomu, liczysz ją tak samo, jak względem poziomu ziemi.
Furgonetka
Lewy obserwator:
Prawy obserwator:
Samochód osobowy
Lewy obserwator:
Prawy obserwator: