Skul.pl
  • Opracowania zadań z podręczników
  • To jest fizyka. Klasa 7. Zeszyt ćwiczeń - rozwiązania i odpowiedzi
  • Zadanie 2.

To jest fizyka. Klasa 7. Zeszyt ćwiczeń - rozwiązania i odpowiedzi

Zeszyt ćwiczeń, Wydawnictwo: Nowa Era
Poprzednie

Zadanie 2. - strona 61

Następne

Zadanie

Oblicz energię potencjalną ciała.

Rozwiązanie

h, m; Ep, J

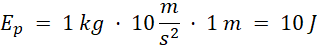
1 m; 10 J

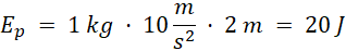
2 m; 20 J

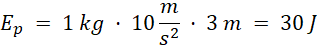
3 m; 30 J

4 m; 40 J

5 m; 50 J

zoom

Skul

Wyjaśnienie

Energię potencjalną policzysz ze wzoru Ep = mgh.

itp.

Zauważ, że energia potencjalna ciała jest proporcjonalna od położenia.

Poprzednie
Następne

Fizyka - wybrane pytania

Zadanie 5, strona 44, Zrozumieć fizykę. Klasa 1.Podręcznik. Zakres rozszerzony - rozwiązania i odpowiedzi
Ćwiczenie 18.3, strona 87, Fizyka. Klasa 3. Zakres rozszerzony. Zbiór zadań - rozwiązania i odpowiedzi
Zadanie 12.38., strona 161, Fizyka. Klasa 7-8. Zbiór zadań - rozwiązania i odpowiedzi
Zadanie 1, strona 97, Zrozumieć fizykę. Klasa 4. Poziom rozszerzony. Podręcznik - rozwiązania i odpowiedzi
Zadanie 3.4.5., strona 101, Zrozumieć fizykę. Klasa 1. Zakres rozszerzony. Zbiór zadań - rozwiązania i odpowiedzi
Zadanie 5., strona 158, Fizyka. Klasa 7-8. Zbiór zadań - rozwiązania i odpowiedzi
Zadanie 4, strona 92, Zrozumieć fizykę. Klasa 4. Poziom rozszerzony. Podręcznik - rozwiązania i odpowiedzi
Ćwiczenie 4., strona 162, Fizyka. Fizyka z plusem. Klasa 7. Podręcznik - rozwiązania i odpowiedzi
Zadanie 12.1.10, strona 96, Zrozumieć fizykę 3. Zakres rozszerzony. Zbiór zadań - rozwiązania i odpowiedz.
Zadanie 12.3.5, strona 109, Zrozumieć fizykę 3. Zakres rozszerzony. Zbiór zadań - rozwiązania i odpowiedz.
REKLAMA
Skul
Zadania z tego działu
IV. Praca i Energia
57
21. Praca
57

Zadanie 1.

57

Zadanie 2.

57

Podpunkt a)

57

Podpunkt b)

57

Zadanie 3.

58

Zadanie 4.

58

Podpunkt a)

58

Podpunkt b)

58

Podpunkt c)

58
22. Energia
59

Zadanie 1.

59

Zadanie 2.

59

Zadanie 3.

60

Podpunkt a)

60

Podpunkt b)

60

Podpunkt c)

60

Zadanie 4.

60
23. Energia potencjalna grawitacji
61

Zadanie 1.

61

Zadanie 2.

61

Zadanie 3.

62

Zadanie 4.

62

Zadanie Skok na Księżycu

63
24. Energia kinetyczna
64

Zadanie 1.

64

Zadanie 2.

64

Zadanie 3.

65

Zadanie Twoja energia

65
25. Przemiany energii mechanicznej
66

Zadanie 1.

66

Podpunkt a)

66

Podpunkt b)

66

Zadanie 2.

67

Zadanie Policzmy razem

67

Zadanie Wahadło z poprzeczką

69
26. Moc
70

Zadanie 1.

70

Podpunkt a)

70

Podpunkt b)

70

Podpunkt c)

70

Podpunkt d)

70

Podpunkt e)

70

Zadanie 2.

71

Zadanie 3.

71

Zadanie Wyłączone? Niezupełnie.

72
Sprawdź, czy potrafisz.
74

Zadanie 1.

74

Zadanie 2.

74

Zadanie 3.

74

Zadanie 4.

74

Zadanie 5.

74

Zadanie 6.

74

Zadanie 7.

74
Pełny spis treści
Skul
Artboard 1
Skul.pl
  • Napisz do nas
  • FAQ
  • Mapa Serwisu
  • Google Play
  • App Store

Korzystanie z portalu oznacza akceptację Regulaminu.
Polityka prywatności. Ustawienia preferencji. Copyright: INTERIA.PL 1999-2023 Wszystkie prawa zastrzeżone.