Skul.pl
  • Opracowania zadań z podręczników
  • To jest fizyka. Klasa 7. Zeszyt ćwiczeń - rozwiązania i odpowiedzi
  • Zadanie 1.

To jest fizyka. Klasa 7. Zeszyt ćwiczeń - rozwiązania i odpowiedzi

Zeszyt ćwiczeń, Wydawnictwo: Nowa Era
Poprzednie

Zadanie 1. - strona 64

Następne

Zadanie

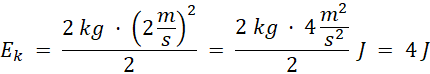
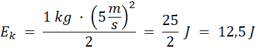
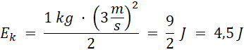
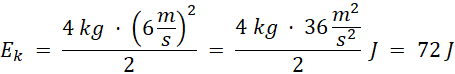
Oblicz energię ciała o podanej masie i prędkości.

Rozwiązanie

masa, kg; prędkość, ; energia kinetyczna, J; Litera;

1 kg; ; 4,5 J; I

2 kg; ; 4 J; N

1 kg; ; 12,5 J; F

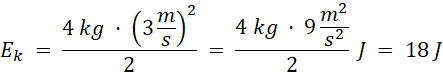
4 kg; ; 18 J; E

4 kg; ; 72 J; L

5 kg; ; 160 J; D

Hasło: Leopold INFELD (1898-1968)

Skul

Wyjaśnienie

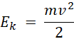
Energię kinetyczną obliczysz ze wzoru

Poprzednie
Następne

Fizyka - wybrane pytania

Zadanie 3, strona 293, Zrozumieć fizykę. Klasa 4. Poziom rozszerzony. Podręcznik - rozwiązania i odpowiedzi
Zadanie 3.1.8., strona 78, Zrozumieć fizykę. Klasa 1. Zakres rozszerzony. Zbiór zadań - rozwiązania i odpowiedzi
Zadanie 25.5., strona 89, Zbiór zadań z fizyki dla szkoły podstawowej. Klasa 7-8 - rozwiązania i odpowiedzi
Zadanie 2, strona 301, Fizyka. Klasa 3. Zakres podstawowy. Podręcznik - rozwiązania i odpowiedzi
Zadanie 16., strona 166, Zrozumieć fizykę 4. Zakres rozszerzony. Zbiór zadań - rozwiązania i odpowiedzi
Ćwiczenie 3., strona 29, Fizyka. Klasa 7. Zeszyt ćwiczeń – rozwiązania i odpowiedzi
Zadanie 5., strona 42, Fizyka. Fizyka z plusem. Klasa 7. Podręcznik - rozwiązania i odpowiedzi
Ćwiczenie 9.3., strona 125, Fizyka. Klasa 1-3. Zakres podstawowy. Zbiór zadań - rozwiązania i odpowiedzi
Zadanie 1., strona 141, Świat fizyki. Klasa 7. Podręcznik - rozwiązania i odpowiedzi
Ćwiczenie 6., strona 35, Świat fizyki. Klasa 7. Zeszyt ćwiczeń - rozwiązania i odpowiedzi
REKLAMA
Skul
Zadania z tego działu
IV. Praca i Energia
57
21. Praca
57

Zadanie 1.

57

Zadanie 2.

57

Podpunkt a)

57

Podpunkt b)

57

Zadanie 3.

58

Zadanie 4.

58

Podpunkt a)

58

Podpunkt b)

58

Podpunkt c)

58
22. Energia
59

Zadanie 1.

59

Zadanie 2.

59

Zadanie 3.

60

Podpunkt a)

60

Podpunkt b)

60

Podpunkt c)

60

Zadanie 4.

60
23. Energia potencjalna grawitacji
61

Zadanie 1.

61

Zadanie 2.

61

Zadanie 3.

62

Zadanie 4.

62

Zadanie Skok na Księżycu

63
24. Energia kinetyczna
64

Zadanie 1.

64

Zadanie 2.

64

Zadanie 3.

65

Zadanie Twoja energia

65
25. Przemiany energii mechanicznej
66

Zadanie 1.

66

Podpunkt a)

66

Podpunkt b)

66

Zadanie 2.

67

Zadanie Policzmy razem

67

Zadanie Wahadło z poprzeczką

69
26. Moc
70

Zadanie 1.

70

Podpunkt a)

70

Podpunkt b)

70

Podpunkt c)

70

Podpunkt d)

70

Podpunkt e)

70

Zadanie 2.

71

Zadanie 3.

71

Zadanie Wyłączone? Niezupełnie.

72
Sprawdź, czy potrafisz.
74

Zadanie 1.

74

Zadanie 2.

74

Zadanie 3.

74

Zadanie 4.

74

Zadanie 5.

74

Zadanie 6.

74

Zadanie 7.

74
Pełny spis treści
Skul
Artboard 1
Skul.pl
  • Napisz do nas
  • FAQ
  • Mapa Serwisu
  • Google Play
  • App Store

Korzystanie z portalu oznacza akceptację Regulaminu.
Polityka prywatności. Ustawienia preferencji. Copyright: INTERIA.PL 1999-2023 Wszystkie prawa zastrzeżone.