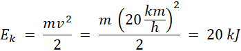
Samochód o prędkości
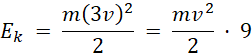
Zauważ, że kolejne prędkości, dla jakich masz obliczyć energię, są wielokrotnościami
gdzie: m – masa samochodu; v – prędkość samochodu;
Prędkość
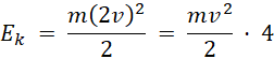
Jak widzisz, energia kinetyczna przy 2-krotnym wzroście prędkości rośnie 4 razy. W takim razie dla prędkości
Jak widzisz na podstawie obliczeń, energia kinetyczna rośnie w kwadracie w stosunku do wzrostu prędkości ciała, co jest słuszną obserwacją, zważywszy, że prędkość we wzorze występuje w kwadracie. Dlatego wartość energii kinetycznej dla danych prędkości wyniosła: