Skul.pl
  • Opracowania zadań z podręczników
  • To jest fizyka. Klasa 7. Zeszyt ćwiczeń - rozwiązania i odpowiedzi
  • Zadanie 2.

To jest fizyka. Klasa 7. Zeszyt ćwiczeń - rozwiązania i odpowiedzi

Zeszyt ćwiczeń, Wydawnictwo: Nowa Era
Poprzednie

Zadanie 2. - strona 74

Następne

Zadanie

Wykonaj obliczenia i uzupełnij zdania.

Rozwiązanie

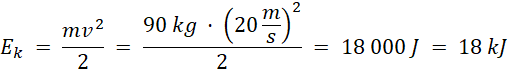
Kiedy narciarz porusza się z prędkością , jego energia kinetyczna wynosi 18 kJ.

Jeżeli narciarz ze szczytu na wysokości 928 m n.p.m. zjedzie na wysokość 728 m n.p.m., to jego energia potencjalna zmniejszy się o 180 kJ.

Skul

Wyjaśnienie

Poprzednie
Następne

Fizyka - wybrane pytania

Zadanie 69.19., strona 276, Zbiór zadań z fizyki dla szkoły podstawowej. Klasa 7-8 - rozwiązania i odpowiedzi
Zadanie 10.15., strona 253, Zrozumieć fizykę. Klasa 2. Zakres rozszerzony. Zbiór zadań - rozwiązania i odpowiedzi
Zadanie 4, strona 144, Zrozumieć fizykę. Klasa 3. Zakres rozszerzony. Podręcznik - rozwiązania i odpowiedzi
Ćwiczenie 8.45., strona 120, Fizyka. Klasa 1-3. Zakres podstawowy. Zbiór zadań - rozwiązania i odpowiedzi
Zadanie 3., strona 53, Fizyka z plusem. Klasa 8. Podręcznik - rozwiązania i odpowiedzi
Ćwiczenie 1., strona 27, Fizyka. Klasa 7. Zeszyt ćwiczeń – rozwiązania i odpowiedzi
Zadanie 26.2, strona 129, Fizyka. Klasa 4. Zakres rozszerzony. Zbiór zadań - rozwiązania i odpowiedzi
Pytanie 1, strona 110, Zrozumieć fizykę. Klasa 4. Poziom rozszerzony. Podręcznik - rozwiązania i odpowiedzi
Zadanie 2, strona 120, Zrozumieć fizykę. Klasa 3. Zakres rozszerzony. Podręcznik - rozwiązania i odpowiedzi
Zadanie 4.3., strona 35, Fizyka. Klasa 7-8. Zbiór zadań - rozwiązania i odpowiedzi
REKLAMA
Skul
Zadania z tego działu
IV. Praca i Energia
57
21. Praca
57

Zadanie 1.

57

Zadanie 2.

57

Podpunkt a)

57

Podpunkt b)

57

Zadanie 3.

58

Zadanie 4.

58

Podpunkt a)

58

Podpunkt b)

58

Podpunkt c)

58
22. Energia
59

Zadanie 1.

59

Zadanie 2.

59

Zadanie 3.

60

Podpunkt a)

60

Podpunkt b)

60

Podpunkt c)

60

Zadanie 4.

60
23. Energia potencjalna grawitacji
61

Zadanie 1.

61

Zadanie 2.

61

Zadanie 3.

62

Zadanie 4.

62

Zadanie Skok na Księżycu

63
24. Energia kinetyczna
64

Zadanie 1.

64

Zadanie 2.

64

Zadanie 3.

65

Zadanie Twoja energia

65
25. Przemiany energii mechanicznej
66

Zadanie 1.

66

Podpunkt a)

66

Podpunkt b)

66

Zadanie 2.

67

Zadanie Policzmy razem

67

Zadanie Wahadło z poprzeczką

69
26. Moc
70

Zadanie 1.

70

Podpunkt a)

70

Podpunkt b)

70

Podpunkt c)

70

Podpunkt d)

70

Podpunkt e)

70

Zadanie 2.

71

Zadanie 3.

71

Zadanie Wyłączone? Niezupełnie.

72
Sprawdź, czy potrafisz.
74

Zadanie 1.

74

Zadanie 2.

74

Zadanie 3.

74

Zadanie 4.

74

Zadanie 5.

74

Zadanie 6.

74

Zadanie 7.

74
Pełny spis treści
Skul
Artboard 1
Skul.pl
  • Napisz do nas
  • FAQ
  • Mapa Serwisu
  • Google Play
  • App Store

Korzystanie z portalu oznacza akceptację Regulaminu.
Polityka prywatności. Ustawienia preferencji. Copyright: INTERIA.PL 1999-2023 Wszystkie prawa zastrzeżone.