Skul.pl
  • Opracowania zadań z podręczników
  • To jest fizyka. Klasa 7. Zeszyt ćwiczeń - rozwiązania i odpowiedzi
  • Zadanie 1.

To jest fizyka. Klasa 7. Zeszyt ćwiczeń - rozwiązania i odpowiedzi

Zeszyt ćwiczeń, Wydawnictwo: Nowa Era
Poprzednie

Zadanie 1. - strona 61

Następne

Zadanie

Oblicz energii potencjalną ciał w ich położeniach.

Rozwiązanie

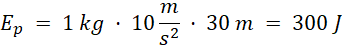
Cukier – h = 30 m; m = 1 kg; Ep = 300 J

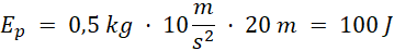
Młotek – h = 20 m; m = 0,5 kg; Ep = 100 J

Butla – h = 5 m; m = 5 kg; Ep = 250 J

Skul

Wyjaśnienie

Energię potencjalną policzysz ze wzoru Ep = mgh.

Energia potencjalna paczki cukru wynosi:

Energia potencjalna młotka wynosi:

Energia potencjalna butli wynosi:

Poprzednie
Następne

Fizyka - wybrane pytania

Zadanie 2., strona 108, Odkryć fizykę. Klasa 2. Podręcznik. Zakres podstawowy - rozwiązania i odpowiedzi
Ćwiczenie 28.5, strona 135, Fizyka. Klasa 3. Zakres rozszerzony. Zbiór zadań - rozwiązania i odpowiedzi
Zadanie 15.48., strona 212, Fizyka. Klasa 7-8. Zbiór zadań - rozwiązania i odpowiedzi
Zadanie 11.24., strona 148, Fizyka. Klasa 7-8. Zbiór zadań - rozwiązania i odpowiedzi
Zadanie 1., strona 11, Świat fizyki. Klasa 8. Podręcznik - rozwiązania i odpowiedzi
Ćwiczenie 2., strona 79, Fizyka. Świat fizyki. Klasa 8. Zeszyt ćwiczeń - rozwiązania i odpowiedzi
Zadanie 7.3.9., strona 27, Zrozumieć fizykę. Klasa 2. Zakres rozszerzony. Zbiór zadań - rozwiązania i odpowiedzi
Ćwiczenie 4.14., strona 53, Fizyka. Klasa 1-3. Zakres podstawowy. Zbiór zadań - rozwiązania i odpowiedzi
Zadanie 7.13., strona 61, Zrozumieć fizykę. Klasa 2. Zakres rozszerzony. Zbiór zadań - rozwiązania i odpowiedzi
Zadanie 5., strona 120, Fizyka. Klasa 1. Podręcznik. Zakres podstawowy - rozwiązania i odpowiedzi
REKLAMA
Skul
Zadania z tego działu
IV. Praca i Energia
57
21. Praca
57

Zadanie 1.

57

Zadanie 2.

57

Podpunkt a)

57

Podpunkt b)

57

Zadanie 3.

58

Zadanie 4.

58

Podpunkt a)

58

Podpunkt b)

58

Podpunkt c)

58
22. Energia
59

Zadanie 1.

59

Zadanie 2.

59

Zadanie 3.

60

Podpunkt a)

60

Podpunkt b)

60

Podpunkt c)

60

Zadanie 4.

60
23. Energia potencjalna grawitacji
61

Zadanie 1.

61

Zadanie 2.

61

Zadanie 3.

62

Zadanie 4.

62

Zadanie Skok na Księżycu

63
24. Energia kinetyczna
64

Zadanie 1.

64

Zadanie 2.

64

Zadanie 3.

65

Zadanie Twoja energia

65
25. Przemiany energii mechanicznej
66

Zadanie 1.

66

Podpunkt a)

66

Podpunkt b)

66

Zadanie 2.

67

Zadanie Policzmy razem

67

Zadanie Wahadło z poprzeczką

69
26. Moc
70

Zadanie 1.

70

Podpunkt a)

70

Podpunkt b)

70

Podpunkt c)

70

Podpunkt d)

70

Podpunkt e)

70

Zadanie 2.

71

Zadanie 3.

71

Zadanie Wyłączone? Niezupełnie.

72
Sprawdź, czy potrafisz.
74

Zadanie 1.

74

Zadanie 2.

74

Zadanie 3.

74

Zadanie 4.

74

Zadanie 5.

74

Zadanie 6.

74

Zadanie 7.

74
Pełny spis treści
Skul
Artboard 1
Skul.pl
  • Napisz do nas
  • FAQ
  • Mapa Serwisu
  • Google Play
  • App Store

Korzystanie z portalu oznacza akceptację Regulaminu.
Polityka prywatności. Ustawienia preferencji. Copyright: INTERIA.PL 1999-2023 Wszystkie prawa zastrzeżone.