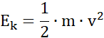
Zastosuj wzór na energię kinetyczną:
gdzie
m – masa ciała [N]
v – prędkość [
Energia kinetyczna jest wprost proporcjonalna do masy ciała, lecz nie jest wprost proporcjonalna do prędkości. Jeśli prędkość ciała wzrośnie dwukrotnie, to energia kinetyczna wzrośnie aż 4 razy.