Oblicz, jaką energię kinetyczną miał samochód o masie 1000 kg przy prędkości .
Masa:
Prędkość
Energia kinetyczna auta:
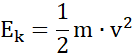
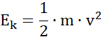
Wzór na energię kinetyczną ma postać:
gdzie – energia kinetyczna [J],
m – masa ciała [N]
v – prędkość [ ].
Ćwiczenie 1.
Podpunkt a)
Podpunkt b)
Ćwiczenie 2.
Ćwiczenie 3.
Zadanie 1.
Zadanie 2.
Zadanie 3.
Zadanie 4.
Zadanie 5.
Zadanie 6.
Podpunkt c)
Zadanie 7.
Zadanie więcej 1.
Zadanie więcej 2.
Zadanie więcej 3.
Podpunkt d)
Ćwiczenie 4.
Ćwiczenie 5.
Ćwiczenie 6.
Zadanie 8.
Zadanie 9.
Podpunkt e)
Pytanie 1.
Pytanie 2.
Pytanie 3.
Pytanie 4.
Pytanie 5.
Pytanie 6.
Pytanie 7.
Pytanie 8.
Pytanie 9.
Pytanie 10.
Pytanie 11.
Pytanie 12.
Pytanie 13.
Pytanie 14.
Pytanie 15.
Pytanie 16.
Pytanie 17.
Pytanie 18.
Pytanie 19.
Pytanie 20.
Pytanie 21.
Pytanie 22.
Pytanie 23.
Pytanie 24.
Pytanie 25.
Pytanie 26.
Pytanie 27.
Pytanie 28.
Pytanie 29.
Podpunkt f)
Podpunkt g)
Podpunkt h)
Podpunkt I)
Podpunkt II)
Podpunkt III)
Podpunkt IV)