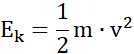
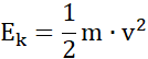
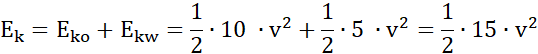
Energia kinetyczna:
Masa wózka:
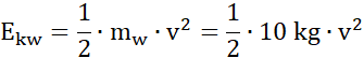
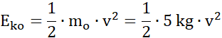
Masa odważnika:
Energia kinetyczna wózka:
Energia kinetyczna odważnika:
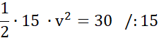
Całkowita energia kinetyczna:
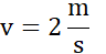
Prędkość:
Wzór na energię kinetyczną ma postać:
gdzie
m – masa ciała [N]
v – prędkość [
Zauważ, że prędkości odważnika i wózka będą takie same, dlatego wystarczy, że wyliczysz ją ze wzoru na energię kinetyczną. Energia kinetyczna jest sumą energii kinetycznych wózka i odważnika.