Masa pustej ciężarówki:
Masa pełnej ciężarówki:
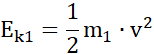
Energia kinetyczna pustej ciężarówki:
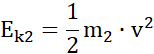
Energia kinetyczna pełnej ciężarówki:
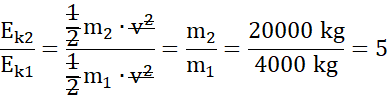
Stosunek energii kinetycznych:
Pełna ciężarówka ma 5 razy większą energię kinetyczną niż pusta.
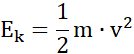
Wzór na energię kinetyczną ma postać:
gdzie
m – masa ciała [N]
v – prędkość [