Dane:
k = 25
x = 72 cm = 0,72 m
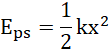
Praca wykonana przez siłę równoważącą siłę zewnętrzną to przyrost energii potencjalnej sprężystości:
Odpowiedź: Na sprężynę należy działać siłą o wartości 18 N, osiągnie ona energię potencjalną sprężystości równą 6,48 J.
Pamiętaj, siła, z jaką należy ciągnąć sprężynę to iloczyn wydłużenia oraz współczynnika sprężystości. Praca to z kolei przyrost energii potencjalnej sprężystości – zwróć uwagę, na początku energia potencjalna sprężystości wynosi zero. Energię potencjalną sprężystości otrzymasz, mnożąc połowę współczynnika sprężystości przez kwadrat wydłużenia.