Dane:
m = 2,5 kg
F = 1 N
t = 2 s
Na ciężarek działa niezrównoważona siła F, więc z drugiej zasady dynamiki porusza się on ruchem jednostajnie zmiennym:
Prędkość w ruchu jednostajnie zmiennym bez prędkości początkowej to:
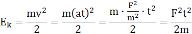
Więc energia kinetyczna ciężarka wygląda następująco:
Zauważ, wypadkowa sił działających na ciężarek (tutaj tylko siła F) jest niezerowa, więc z drugiej zasady dynamiki będzie ona poruszał się ruchem jednostajnie zmiennym, wartość siły F to iloczyn masy i przyspieszenia. Wyznacz z równości wartość przyspieszenia i skorzystaj ze wzoru prędkość w ruchu jednostajnie zmiennym bez prędkości początkowej (przed działaniem siły ciężarek był w spoczynku). Zebrane zależności wstaw do wzoru na energię kinetyczną.