Dane:
α = 15°
η = 5% = 0,05
Z pierwszej zasady dynamiki, samochód będzie poruszał się ze stałą prędkością, gdy siła, z jaką porusza się do przodu, zrównoważy siły opory ruchu, czyli:
Na samochód w czasie wjazdu na wzniesienie działają: siły oporu, siła ciężkości, siła, dzięki, które porusza się pojazd oraz siła reakcji podłoża.
Rozpiszmy siłę ciężkości na składowe:
Niech samochód jedzie w prawo.
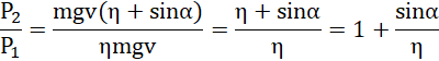
Siły wzdłuż każdej osi równoważą, się, ponieważ samochód porusza się ruchem jednostajnym:
więc:
Czyli:
Z tablic:
Odpowiedź: Moc samochodu na wzniesieniu jest 6,176 razy większa od mocy pojazdu na poziomej trasie.
Pamiętaj, moc możesz zapisać jako iloczyn siły i prędkości. Żeby samochód poruszał się ruchem jednostajnym, siła, z jaką porusza się do przodu, musi równoważyć siły oporu, czyli ich wartości są takie same (ale zwroty przeciwne). Aby poznać wartość siły, jaka porusza samochód, gdy znajduje się na wzniesieniu, rozpisz siłę ciężkości na składowe wzdłuż osi układu współrzędnych, a następnie dodaj do siebie siły wzdłuż tych samych osi – z pierwszej zasady dynamiki sumy będą równe 0 (gdyż mamy do czynienia z ruchem jednostajnym) – wyznacz wartość szukanej siły. Na koniec podziel przez siebie otrzymane moce – dowiesz się ile razy większa/mniejsza jest jedna moc od drugiej.