Dane:
m = 1000 t = 1 000 000 kg
t = 1 min = 60 s
u = 2000
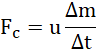
Siła ciągu rakiety wynosi:
Gdy rakieta wzbija się w górę, działa na nią siła ciągu zwrócona do góry i siła ciężkości zwrócona w dół, rakieta porusza się ruchem jednostajnie przyspieszonym, czyli siły nie równoważą się:
gdzie:
więc:
Odpowiedź:
Pamiętaj, siłę ciągu rakiety poznasz, mnożąc prędkość gazów spalinowych przez prędkość spalania. Aby wynik był czytelniejszy, podaj go z odpowiednim przedrostkiem. Siły ciężkości rakiety i ciągu nie równoważą się, więc porusza się ona ruchem jednostajnie przyspieszonym – z drugiej zasady dynamiki wypadkowa tych sił to iloczyn masy i przyspieszenia. Zauważ, w obliczeniach należy uwzględniać zmniejszanie się masy rakiety spowodowane spalaniem się paliwa – rakieta na każdą sekundę tarci 7500 kg swojej masy.