Dane:
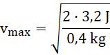
m = 400 g = 0,4 kg
Na kulkę nie działają opory ruchu, więc jej energia mechaniczna jest stała w każdym momencie ruchu.
Prędkość kulki jest największa, gdy jej energia kinetyczna jest największa.
Odczytując z wykresu:
Odpowiedź: W momencie t = 0,9 s kulka znajdowała się na wysokości 0,8 m.
Przypomnij sobie wzór na energię kinetyczną ciała – zależy on od kwadratu prędkości, a więc im większa prędkość, tym większa energia kinetyczna kulki. Odszukaj na wykresie maksymalną wartość energii kinetycznej i wyznacz z niej prędkość maksymalną.