Dane:
m = 30 kg
d = 1 m
x = 10 cm = 0,1 m
x1 = 0,5 m
h = 2,8 m
Wyznaczmy współczynnik sprężystości trampoliny:
dziecko leży spokojnie, więc siła jego ciężkości równoważy się z siłą sprężystości trampoliny.
wiemy, że:
więc:
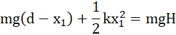
W momencie maksymalnego ugięcia trampoliny całkowita energia wynosi:
W momencie, gdy dziecko znajduje się w najwyższym możliwym położeniu, energia całkowita wynosi:
Co z zasady zachowania energii daje:
Odpowiedź:
Na początek wyznacz wartość współczynnika sprężystości trampoliny. Gdy dziecko leży spokojnie, z pierwszej zasady dynamiki siły ciężkości i sprężystości równoważą się (mają taką samą wartość, ale przeciwne zwroty). Wstaw wzór na siłę ciężkości do wzoru na siłę sprężystości i wyznacz szukany współczynnik. Następnie rozpisz sumy energii dziecka w momencie najniższego i najwyższego położenia (w obu przypadkach prędkość dziecka wynosi zero, więc nie ma ono energii kinetycznej). Zwróć uwagę, że punktem odniesienia jest podłoże, więc w momencie, gdy dziecko znajduje się najniżej, wysokość to różnica wysokości, na jakiej znajduje się trampolina i ugięcia się jej. Energia sprężystości w momencie najwyższego położenia dziecka wynosi zero, gdyż dziecko nie ugina już trampoliny. Przyrównaj do siebie otrzymane sumy, wstaw wyznaczony współczynnik sprężystości i wyznacz wysokość, na jaką wzbije się dziecko. Porównaj ją z wysokością siatki.