Dane:
m = 30 kg
h = 100 m
t = 5,5 s
g = 10
Niech oś układu współrzędnych będzie zwrócona w dół.
Odłamek porusza się ruchem jednostajnie przyspieszonym, więc z drugiej zasady dynamiki, wypadkowa sił działających na niego jest równa od zera.
Ponadto:
a więc:
co daje:
Odpowiedź: Praca wykonana przez siłę oporów powietrza wyniosła –10 165 J.
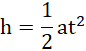
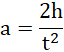
Odłamek porusza się ruchem jednostajnie zmiennym, więc siły działające na niego (siła ciężkości i siła oporów powietrza) nie równoważą się, a ich suma (zwróć uwagę na zwroty sił i osi układu współrzędnych) jest równa iloczynowi przyspieszenia i masy. Aby poznać wartość przyspieszenia, skorzystaj ze wzoru na drogę w ruchu jednostajnie przyspieszonym bez prędkości początkowej. Na koniec policz wartość pracy wykonaną przez siłę oporu – jest to iloczyn tej siły, wartości przemieszczenia oraz cosinusa kąta pomiędzy tymi wektorami – tutaj jest to 180 stopni.