Dane:
m = 1
t = 2 s
Niech oś układu współrzędnych będzie zwrócona pionowo w dół.
Na ciało działa niezrównoważona siła ciężkości, więc porusza się ono ruchem jednostajnie przyspieszonym o przyspieszeniu równym g.
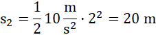
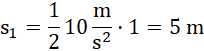
Droga w ruchu jednostajnie przyspieszonym to:
Przed rozpoczęciem drugiej sekundy ruchu ciało pokonało:
Do końca drugiej sekundy ruchu ciało pokonało:
Ciało w drugiej sekundzie ruchu pokonało:
Praca to iloczyn skalarny wektora siły i przemieszczenia:
Odpowiedź: d) 150 J
Na ciało działa tylko siła ciężkości, więc wypadkowa siła jest niezerowa – z drugiej zasady dynamiki kul porusza się ruchem jednostajnie przyspieszonym, a przyspieszenie jest równe g. Ze wzoru opisującego drogę w ruchu jednostajnie zmiennym bez prędkości początkowej wylicz drogę pokonaną przez rozpoczęciem drugiej sekundy ruchu i po zakończeniu drugiej sekundy ruchu – różnica tych wartości to droga pokonana w ciągu drugiej sekundy spadania. Pamiętaj, praca to iloczyn wartości siły, przemieszczenia oraz cosinusa kąta pomiędzy nimi (tutaj kąt to zero stopni, więc cosinus wynosi 1).