Dane:
P = 18 kW = 18 000 W
q = 120
d = 1000
Wydajność zdefiniowana jest jako:
gdzie:
V – objętość wody,
t – czas wyrzutu wody
Ponadto:
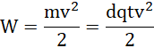
Praca wykonana przez pompę to przyrost energii kinetycznej wody:
czyli:
Odpowiedź: Woda jest wyrzucana z pompy z prędkością
Zauważ, wydajność to iloraz objętości i czasu, zaś masę wody można zapisać jako iloczyn gęstości i objętości (a objętość z pierwszej równości jako iloczyn wydajności i czasu). Praca, jaka została wykonana, została zamieniona na energię kinetyczną wody, po wstawieniu do równości wyznaczonej masy, wylicz szukaną prędkość. Zwróć uwagę, gęstość i wydajność są podane w jednostkach, które nie skrócą się podczas mnożenia, dopóki jedna z nich (niezależnie która) nie zostanie zamieniona.