Dane:
v = 1,2
m = 0,2 kg
x = 6 cm = 0,06 m
Energia mechaniczna wagonika przed uderzeniem to energia kinetyczna:
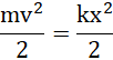
W trakcie uderzenia energia kinetyczna zostaje przekształcona w energię potencjalną sprężystości:
Odpowiedź: Współczynnik sprężystości sprężyny buforowej wynosi 80
Gdy wagonik porusza się w stronę przeszkody, jego energia mechaniczna jest równa jego energii kinetycznej. Gdy wagonik uderza o przeszkodę, sprężyna zostaje ściśnięta – mamy do czynienia z energią potencjalną sprężystości. Wagonik po uderzenie oddalił się o 6 cm, czyli o wartość, o jaką została ściśnięta sprężyna.