Dane:
P = 1,5 kW = 1 500 W
h = 50 m
d = 1000
Wydajność zdefiniowana jest jako:
gdzie:
V – objętość wody,
t – czas wyrzutu wody
Ponadto:
Praca wykonana przez pompę to przyrost energii potencjalnej wody:
czyli:
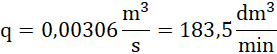
Odpowiedź: Pompa w ciągu 1 minuty może wypompować 183,5 litra wody.
Zauważ, wydajność to iloraz objętości i czasu, zaś masę wody można zapisać jako iloczyn gęstości i objętości (a objętość z pierwszej równości jako iloczyn wydajności i czasu). Praca, jaka została wykonana, została zamieniona na energię potencjalną wody, po wstawieniu do równości wyznaczonej masy, wylicz szukaną wydajność. Zwróć uwagę, w jakiej jednostce otrzymasz wynik – wymiar wata to