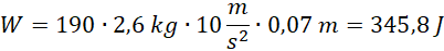
Wiedząc, że 20 cegieł o masie 2,6 kg o grubości 7 cm każda ułożono w słupek jedną na drugiej oblicz, jaką pracę minimalną należy wtedy wykonać.
Rozwiązanie
Wyjaśnienie
Minimalna praca wykonana przez robotnika jest równa przyrostowi energii potencjalnej każdej z cegieł. Początkowa energia potencjalna każdej cegły jest równa , ponieważ cegła leży na podłożu.