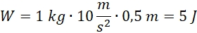
Oblicz, jaką pracę wykonała siła ciężkości, gdy ciało o masie 1 kg znajdujące się na wysokości 0,5 m nad podłożem zsunęło się po desce nachylonej do poziomu pod pewnym kątem.
Rozwiązanie
Wyjaśnienie
Wykorzystujemy wzór na pracę. Siła jest ciężarem rzutowanym na kierunek równi.