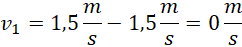
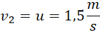
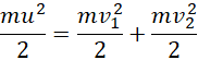
Zapisujemy zasadę zachowania energii mechanicznej w układzie oraz zasadę zachowania pędu. Kulki odbijają się sprężyście, więc zakładamy, że kulka pierwsza uzyskuje prędkość ze zwrotem przeciwnym do pierwotnego o nieznanej wartości. Otrzymane zależności przekształcamy i skracamy wielkości pojawiające się w każdym wyrazie.