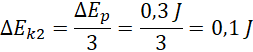
Na podstawie rysunku przedstawionego w podręczniku oblicz, o ile wzrosła energia kinetyczna klocka wiszącego na lince, jeśli jego energia potencjalna zmalała o 0,3 J.
Rozwiązanie
Wyjaśnienie
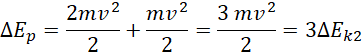
Zapisujemy zasadę zachowania energii mechanicznej. Wartość, o jaką zmalała energia potencjalna klocka została przekształcona w energię kinetyczną dwóch klocków.