Na podstawie danych przedstawionych w treści zadania wyprowadź wzór, który podaje związek h i m. Następnie oblicz masę komody, jeśli została ona wciągnięta na wysokość 0,4 m.
Rozwiązanie
Wyjaśnienie
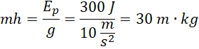
Wykorzystujemy wzór na energię potencjalną, który przekształcamy. Następnie podstawiamy dane liczbowe i wykonujemy obliczenia.